#E011P2 - Practice 2 - systems-equal values method
star
star
star
star
star
Last updated over 5 years ago
10 questions

1
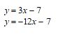
Solve each system. Answer as an ordered pair (x, y)
Solve each system. Answer as an ordered pair (x, y)
1
Solve each system. Answer as an ordered pair (x, y)
Solve each system. Answer as an ordered pair (x, y)
1
Solve each system. Answer as an ordered pair (x, y)
Solve each system. Answer as an ordered pair (x, y)
1
Solve each system. Answer as an ordered pair (x, y)
Solve each system. Answer as an ordered pair (x, y)
1
Solve each system. Answer as an ordered pair (x, y)
Solve each system. Answer as an ordered pair (x, y)
1
Solve each system. Answer as an ordered pair (x, y)
Solve each system. Answer as an ordered pair (x, y)
1
Solve each system. Answer as an ordered pair (x, y)
Solve each system. Answer as an ordered pair (x, y)
1
Solve each system. Answer as an ordered pair (x, y)
Solve each system. Answer as an ordered pair (x, y)
1
Solve each system. Answer as an ordered pair (x, y)
Solve each system. Answer as an ordered pair (x, y)
1
Solve each system. Answer as an ordered pair (x, y)
Solve each system. Answer as an ordered pair (x, y)