#E012Q - Solve system be Substitution QUIZ
star
star
star
star
star
Last updated over 5 years ago
10 questions

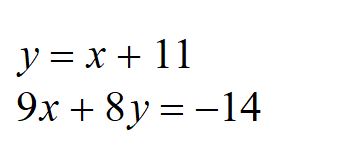
1
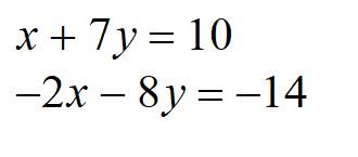
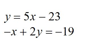
Solve each system. Answer should be an ordered pair (x, y)
Solve each system. Answer should be an ordered pair (x, y)
1
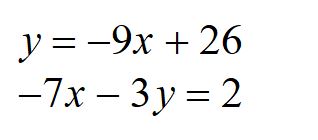
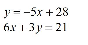
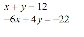
Solve each system. Answer should be an ordered pair (x, y)
Solve each system. Answer should be an ordered pair (x, y)
1
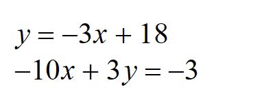
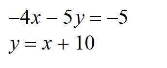
Solve each system. Answer should be an ordered pair (x, y)
Solve each system. Answer should be an ordered pair (x, y)
1
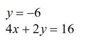
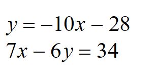
Solve each system. Answer should be an ordered pair (x, y)
Solve each system. Answer should be an ordered pair (x, y)
1
Solve each system. Answer should be an ordered pair (x, y)
Solve each system. Answer should be an ordered pair (x, y)
1
Solve each system. Answer should be an ordered pair (x, y)
Solve each system. Answer should be an ordered pair (x, y)
1
Solve each system. Answer should be an ordered pair (x, y)
Solve each system. Answer should be an ordered pair (x, y)
1
Solve each system. Answer should be an ordered pair (x, y)
Solve each system. Answer should be an ordered pair (x, y)
1
Solve each system. Answer should be an ordered pair (x, y)
Solve each system. Answer should be an ordered pair (x, y)
1
Solve each system. Answer should be an ordered pair (x, y)
Solve each system. Answer should be an ordered pair (x, y)