#E012P1-Practice 1 - substitution for System
star
star
star
star
star
Last updated over 5 years ago
10 questions

1
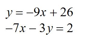
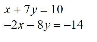
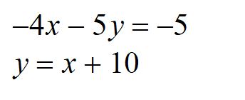
Solve each system. Answer should be an ordered pair (x, y)
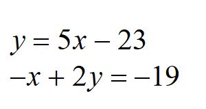
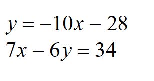
Solve each system. Answer should be an ordered pair (x, y)
1
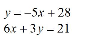
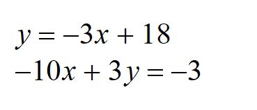
Solve each system. Answer should be an ordered pair (x, y)
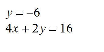
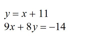
Solve each system. Answer should be an ordered pair (x, y)
1
Solve each system. Answer should be an ordered pair (x, y)
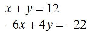
Solve each system. Answer should be an ordered pair (x, y)
1
Solve each system. Answer should be an ordered pair (x, y)
Solve each system. Answer should be an ordered pair (x, y)
1
Solve each system. Answer should be an ordered pair (x, y)
Solve each system. Answer should be an ordered pair (x, y)
1
Solve each system. Answer should be an ordered pair (x, y)
Solve each system. Answer should be an ordered pair (x, y)
1
Solve each system. Answer should be an ordered pair (x, y)
Solve each system. Answer should be an ordered pair (x, y)
1
Solve each system. Answer should be an ordered pair (x, y)
Solve each system. Answer should be an ordered pair (x, y)
1
Solve each system. Answer should be an ordered pair (x, y)
Solve each system. Answer should be an ordered pair (x, y)
1
Solve each system. Answer should be an ordered pair (x, y)
Solve each system. Answer should be an ordered pair (x, y)