#E012P - Practice 2 - Systems by substitution
star
star
star
star
star
Last updated over 5 years ago
10 questions

1
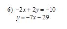
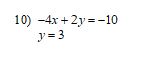
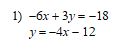
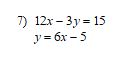
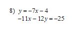
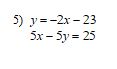
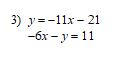
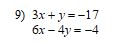
Solve each System. Answer should be an ordered pair (x, y)
Solve each System. Answer should be an ordered pair (x, y)
1
1
1
1
1
1
1
1
1