Log in
Sign up for FREE
arrow_back
Library
5-12-20 Comparing Functions Review
By Leronda Bakari
star
star
star
star
star
Share
share
Last updated almost 6 years ago
9 questions
Add this activity
Note from the author:
Review questions
1
1
1
1
1
1
1
1
1
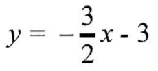
Question 1
1.
Identify the follwoing equation as linear, quadratic or exponential.
Linear
Quadratic
Exponential
Neither
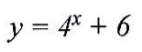
Question 2
2.
What is the y intercept of the equation?
3
-3
Question 3
3.
What type of function is this?
Linear
Exponenial
Quadratic
Absoulute Value
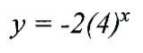
Question 4
4.
What is the y-intercept of the following function?
1
2
4
-2
Question 5
5.
What is the equation to the function?
y = 18x + 3
Question 6
6.
Identify the type of function.
Exponential
Quadratic
Linear
None of the above
Question 7
7.
a
b
Question 8
8.
y = 2000x
y = 2000x + 34000
y = 2000(2)
x
y = 2
x
Question 9
9.
What is the average rate of change over the interval [0, 2] for the following graph
?
-
-2