Log in
Sign up for FREE
arrow_back
Library
4/22 writing equations activity
By Sara Friedland
star
star
star
star
star
Share
share
Last updated about 1 year ago
18 questions
Add this activity
1
zoom_in
2
3
4
5
6
7
8
9
10
11
12
13
14
15
zoom_in
1
1
1
1
1
1
1
1
1
1
1
1
1
1
16
17
18
zoom_in
1
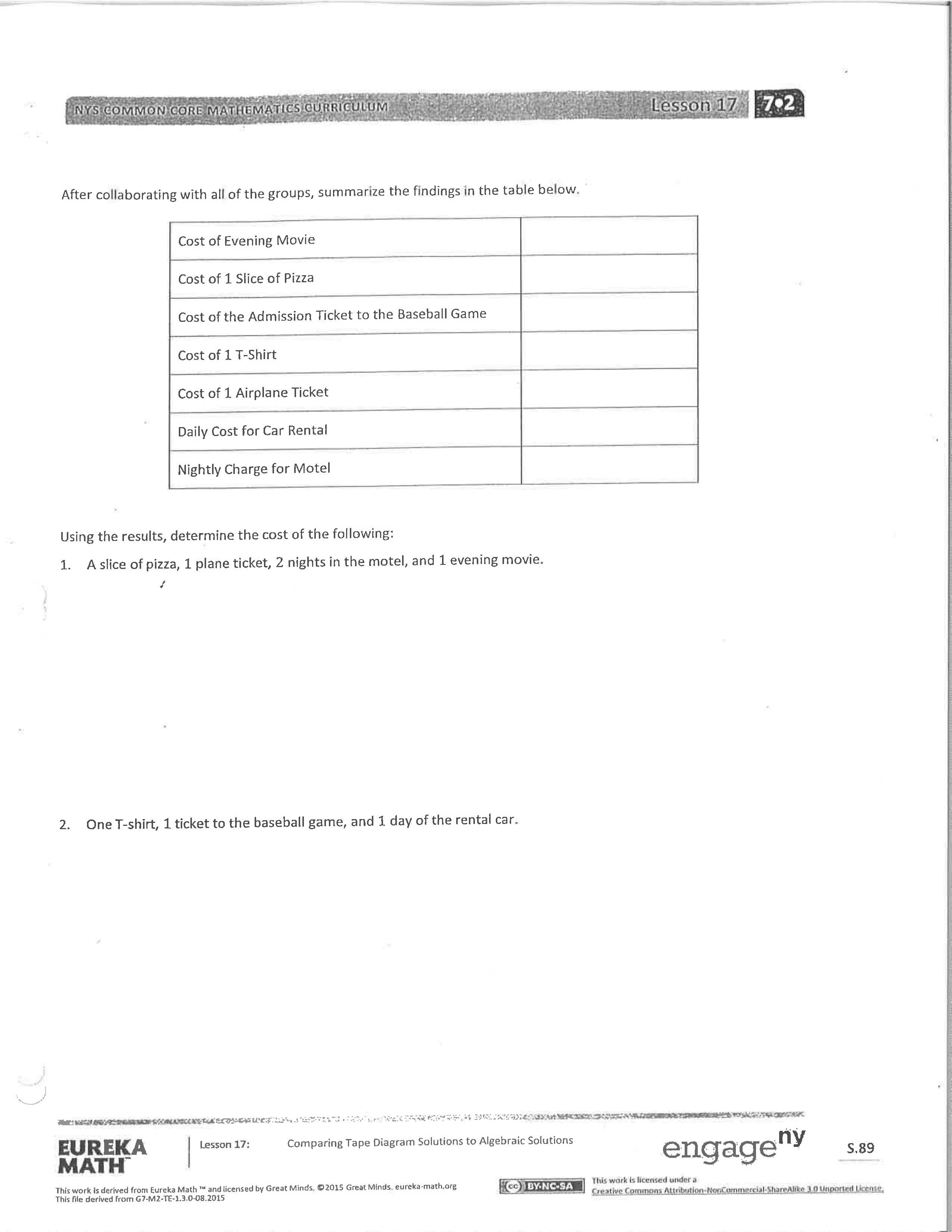
Question 16
16.
What was the cost of an evening movie ticket from the first scenario?
1
Question 17
17.
Using your answers from the scenarios above, what would the cost be?
1
Question 18
18.
Using your answers from the scenarios above, what would the cost be?
Question 2
2.
What equation could you use to find the cost of the evening movie ticket? (Use d to represent the unknown value of a drive-in ticket).
Question 3
3.
How much did each person spend in one day on movie tickets? Put only a number.
Question 4
4.
What equation could you use to find the cost of a slice of pizza? (Use p to represent the unknown value of a slice of pizza).
Question 5
5.
How much did one slice of pizza cost?
Question 6
6.
What equation could you use to find the cost of a baseball ticket? (Use t to represent the unknown value of a game ticket).
Question 7
7.
How much did one ticket cost?
Question 8
8.
What equation could you use to find the cost of one T-shirt? (Use t to represent the unknown value of a t-shirt).
Question 9
9.
How much did one T-shirt cost?
Question 10
10.
What equation could you use to find the cost one plane ticket including the insurance?
Question 11
11.
What was the cost of one ticket?
Question 12
12.
What equation could you use to find the cost of the daily car rental?
Question 13
13.
What was the daily car rental fee?
Question 14
14.
What equation could you use to find the nightly fee?
Question 15
15.
How much does one night cost?