Log in
Sign up for FREE
arrow_back
Library

Lewisstructuren

star
star
star
star
star
Last updated almost 6 years ago
4 questions
1
Question 1
1.

Hoe heb je zelf vroeger Lewisstructuren geleerd? Wat was daar fijn / niet fijn aan? En weet je waardoor dat kwam? Probeer dat te benoemen.

1
1
Question 3
3.

Bedenk een aantal vragen die je hebt bij dit onderwerp (dat kan vakinhoudelijk zijn, maar ook vakdidactisch) EN zoek daarbij op internet/in de literatuur mogelijke antwoorden op deze vragen. Neem dit allebei (inclusief de bron) mee naar college. Schrijf het hier op.

1
Question 2
2.

Schrijf voor jezelf een situatie op waarin je met je leerlingen bezig was met dit onderwerp. Wat ging daar goed / niet goed aan? En weet je waardoor dat kwam? Probeer dat te benoemen.

of

Maak een korte lesvoorbereiding waarin je aan leerlingen uitlegt wat een Lewisstructuur is, wat je er mee kan (waarom belangrijk?) en hoe je er een tekent.

Question 4
4.

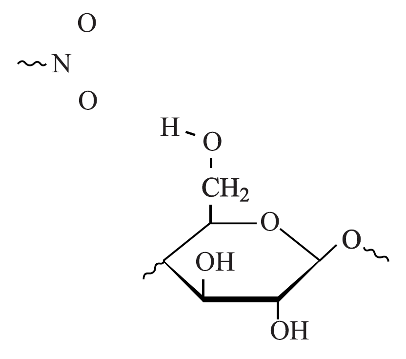
Geef de Lewisstructuur van de nitrogroep van MX en de bovenste OH-groep van cellulose. Geef in de tekening formele en partiƫle ladingen aan. De Lewisstructuren moeten voldoen aan de octetregel.