Log in
Sign up for FREE
arrow_back
Library

3. izborna, Odnos pravaca u prostoru. Ravnina i pravac u prostoru - listić 02

star
star
star
star
star
Last updated almost 5 years ago
12 questions
1
1
2
2
2
2
0
Kroz nekoliko zadataka provjerite koliko ste razumjeli prethodno gradivo. Zadatke riješite uredno u svoju bilježnicu, jer ćete na kraju priložiti fotografiju postupaka. Rješenjima ćete moći pristupiti nakon što pregledam odgovore.
Question 1
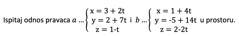
1.

Question 2
2.

1
Question 3
3.

Sjecište je točka:

1
Question 4
4.

Pravci se sijeku pod kutom:

Question 5
5.

Question 6
6.

Question 7
7.

Question 8
8.

1
Question 9
9.

Probodište s ravninom xOy:

1
Question 10
10.

Probodište s ravninom xOz:

1
Question 11
11.

Probodište s ravninom yOz:

Question 12
12.

Ovdje priložite fotografiju svojih postupaka iz bilježnice (u lijevom stupcu klikom na oznaku sličice).