Mooney ALGEBRA 1 EOC Review Day 1
star
star
star
star
star
Last updated over 5 years ago
4 questions
3
Match the vocabulary terms with their definitions by dragging each term to it's definition.
Match the vocabulary terms with their definitions by dragging each term to it's definition.
| Draggable item | arrow_right_alt | Corresponding Item |
|---|---|---|
Standard Form of a line | arrow_right_alt | |
Slope-Intercept Form of a line | arrow_right_alt | |
Point-Slope Form of a line | arrow_right_alt |
4
Match the vocabulary terms with their definitions by dragging each term to it's definition.
Match the vocabulary terms with their definitions by dragging each term to it's definition.
| Draggable item | arrow_right_alt | Corresponding Item |
|---|---|---|
Zero Slope | arrow_right_alt | |
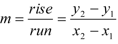
Slope | arrow_right_alt | |
Undefined Slope | arrow_right_alt | |
Rate of Change | arrow_right_alt | A ratio that describes how one quantity changes in relation to another quantity. |
4
Match the vocabulary terms with their definitions by dragging each term to it's definition.
Match the vocabulary terms with their definitions by dragging each term to it's definition.
| Draggable item | arrow_right_alt | Corresponding Item |
|---|---|---|
System of Equations | arrow_right_alt | A specific relationship between two variables (x and y) where an x-value is assigned to only one y-value. |
Linear Function | arrow_right_alt | |
System of Inequalities | arrow_right_alt | The solution is the region on the coordinate plane where the shaded regions overlap. |
Function | arrow_right_alt | A relationship between x and y that has a constant rate of change. |
4
| Draggable item | arrow_right_alt | Corresponding Item |
|---|---|---|
Dependent Variable | arrow_right_alt | A variable (often denoted by y ) whose value depends on that of another. |
Independent Variable | arrow_right_alt | A variable (often denoted by x ) whose variation does not depend on that of another. |
Domain | arrow_right_alt | The set of all possible input values for a function |
Range | arrow_right_alt | The set of all possible output values for a function |