Log in
Sign up for FREE
arrow_back
Library
LRIS Lesson 1.3 Assignment
By Tom Kurtz
star
star
star
star
star
Share
share
Last updated over 5 years ago
9 questions
Add this activity
1
1
1
1
1
1
1
0
1
Question 1
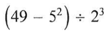
1.
Question 2
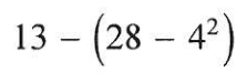
2.
Question 3
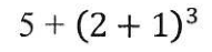
3.
Question 4
4.
Question 5
5.
Please write your response in
complete sentences
.
Question 6
6.
Question 7
7.
Question 8
8.
Use all four operations +, -, x, or divide without parentheses to write an expression that has a value of 1.
Question 9
9.