LRIS Lesson 2.6 Assignment
star
star
star
star
star
Last updated over 5 years ago
11 questions
1
Use the "/" for the divide sign.
Type this like "86.4 / 7".
Use the "/" for the divide sign.
Type this like "86.4 / 7".
1
Use the "/" for the divide sign.
Type this like "86.4 / 7".
Use the "/" for the divide sign.
Type this like "86.4 / 7".
1
Use the "/" for the divide sign.
Type this like "86.4 / 7".
Use the "/" for the divide sign.
Type this like "86.4 / 7".
1
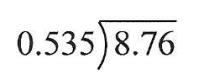
Divide.
Divide.
1
Divide.
Divide.
1
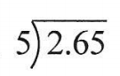
Divide.
Divide.
1
Divide.
Divide.
1
What is the mistake in this problem?
Make sure to type with complete sentences with capital letters and puntuation marks.
What is the mistake in this problem?
Make sure to type with complete sentences with capital letters and puntuation marks.
1
Correct the mistake and enter in the correct answer.
Correct the mistake and enter in the correct answer.
1
1