Log in
Sign up for FREE
arrow_back
Library

LRIS 3.2 Part 2 Assignment

star
star
star
star
star
Last updated over 5 years ago
20 questions
1
1
1
1
1
1
1
1
1
1
1
1
1
1
1
1
1
1
1
1
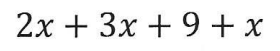
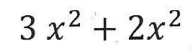
Question 1
1.

Combine the like terms and rewrite the expression.

No spaces please!

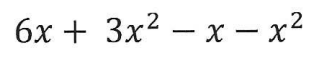
Question 2
2.


Combine the like terms and rewrite the expression.

No spaces please!

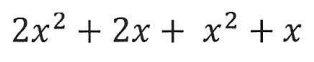
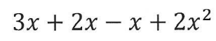
Question 3
3.


Combine the like terms and rewrite the expression.

No spaces please!

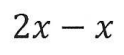
Question 4
4.


Combine the like terms and rewrite the expression.

No spaces please!

Question 5
5.


Combine the like terms and rewrite the expression.

No spaces please!

Question 6
6.


Question 7
7.


Combine the like terms and rewrite the expression.

No spaces please!

Question 8
8.


Combine the like terms and rewrite the expression.

No spaces please!

Question 9
9.


Combine the like terms and rewrite the expression.

No spaces please!

Question 10
10.


Question 11
11.


Question 12
12.


Combine the like terms and rewrite the expression.

No spaces please!

Question 13
13.


Question 14
14.


Question 15
15.


Question 16
16.


Question 17
17.


Question 18
18.


Question 19
19.


Question 20
20.