Log in
Sign up for FREE
arrow_back
Library

Lesson 3.3 Assignment

star
star
star
star
star
Last updated over 5 years ago
16 questions
1
1
1
1
1
1
1
1
1
1
1
1
1
1
1
1
Question 1
1.

Commutative Property of Addition: a+7 =

Remember, no spaces.

Question 2
2.

Commutative Property of Multiplication: 12 x 5 =

Remember, no spaces.

Question 3
3.

Associative Property of Addition: 6+(9+7) =

Remember, no spaces.

Question 4
4.

Associative Property of Multiplication: 2x(5x7) =

Remember, no spaces.

Question 5
5.

Multiplication Property of One: 18 x w x 1 =

Remember, no spaces.

Question 6
6.

Addition Property of Zero: 26 + c + 0 =

Remember, no spaces.

Question 7
7.

Using the properties, simplify the expression.

No spaces please.

Use the "+" for addition, the "-" for subtraction, and the "/" for divide. For multiplication, put them side by side.

This is Mr. Robert's video. Just scan to the part where he gives examples.

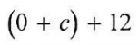
Question 8
8.

Using the properties, simplify the expression.

No spaces please.

Use the "+" for addition, the "-" for subtraction, and the "/" for divide. For multiplication, put them side by side.

This is Mr. Robert's video. Just scan to the part where he gives examples.

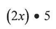
Question 9
9.

Using the properties, simplify the expression.


No spaces please.

Use the "+" for addition, the "-" for subtraction, and the "/" for divide. For multiplication, put them side by side.

This is Mr. Robert's video. Just scan to the part where he gives examples.

Question 10
10.

Using the properties, simplify the expression.


No spaces please.

Use the "+" for addition, the "-" for subtraction, and the "/" for divide. For multiplication, put them side by side.

This is Mr. Robert's video. Just scan to the part where he gives examples.

Question 11
11.

Using the properties, simplify the expression.


No spaces please.

Use the "+" for addition, the "-" for subtraction, and the "/" for divide. For multiplication, put them side by side.

This is Mr. Robert's video. Just scan to the part where he gives examples.

Question 12
12.

Using the properties, simplify the expression.


No spaces please.

Use the "+" for addition, the "-" for subtraction, and the "/" for divide. For multiplication, put them side by side.

This is Mr. Robert's video. Just scan to the part where he gives examples.

Question 13
13.

What did they do wrong?

Write complete sentences with capital letters and punctuation marks to explain.

Question 14
14.


Which of these are actually the commutative property of multiplication of the first part of the equation (2 * x) * 4?

Question 15
15.


No spaces please.

Use the "+" for addition, the "-" for subtraction, and the "/" for divide. For multiplication, you can put the coefficient (number) and the variable (letter) side by side.

Question 16
16.

Simplify the expression using your properties.

No spaces please.

Use the "+" for addition, the "-" for subtraction, and the "/" for divide. For multiplication, you can put the coefficient (number) and the variable (letter) side by side.