Log in
Sign up for FREE
arrow_back
Library

LRIS 3.4 Assignment

star
star
star
star
star
Last updated over 5 years ago
10 questions
1
1
1
1
1
1
1
1
1
1
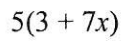
Question 1
1.


No spaces please!

Use the "+" for addition, "-" for subtraction, and "/" for division. For multiplication, have the coefficient (number) and the variable (letter) side by side.

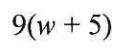
Question 2
2.



No spaces please!

Use the "+" for addition, "-" for subtraction, and "/" for division. For multiplication, have the coefficient (number) and the variable (letter) side by side.

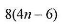
Question 3
3.



No spaces please!

Use the "+" for addition, "-" for subtraction, and "/" for division. For multiplication, have the coefficient (number) and the variable (letter) side by side.

Question 4
4.



No spaces please!

Use the "+" for addition, "-" for subtraction, and "/" for division. For multiplication, have the coefficient (number) and the variable (letter) side by side.

Question 5
5.



No spaces please!

Use the "+" for addition, "-" for subtraction, and "/" for division. For multiplication, have the coefficient (number) and the variable (letter) side by side.

Question 6
6.



No spaces please!

Use the "+" for addition, "-" for subtraction, and "/" for division. For multiplication, have the coefficient (number) and the variable (letter) side by side.

Question 7
7.



No spaces please!

Use the "+" for addition, "-" for subtraction, and "/" for division. For multiplication, have the coefficient (number) and the variable (letter) side by side.

Question 8
8.



No spaces please!

Use the "+" for addition, "-" for subtraction, and "/" for division. For multiplication, have the coefficient (number) and the variable (letter) side by side.

Question 9
9.



No spaces please!

Use the "+" for addition, "-" for subtraction, and "/" for division. For multiplication, have the coefficient (number) and the variable (letter) side by side.

Question 10
10.


5m + 30
5(m +6)
5(m + 30)
m(5 + 30)