Log in
Sign up for FREE
arrow_back
Library

G11 ASSESSMENT 4 JUNE 2020

star
star
star
star
star
Last updated about 1 year ago
23 questions
1
1
6
1
1
1
1
8
1
1
1
1
1
1
1
3
3
1
1
6
4
1
4

Bonding and IMFs Assessment [50 Marks]

You have one hour to complete this assessment. At 9:30 the assessment will automatically close.
If you are experiencing any difficulties, message me in Formative, at the relevant question.

SECTION A: Short questions (25 Marks)

Question 1
1.

Question 2
2.

Question 3
3.

Question 4
4.

Question 5
5.

Question 6
6.

Question 7
7.

Question 8
8.

Draggable itemarrow_right_altCorresponding Item
arrow_right_alt
arrow_right_alt
arrow_right_alt
arrow_right_alt
arrow_right_alt
arrow_right_alt
arrow_right_alt
arrow_right_alt
Question 9
9.

Question 10
10.

Question 11
11.

Question 12
12.

Question 13
13.

Section B: Longer Questions (25 Marks)

Question 1 (9 marks)
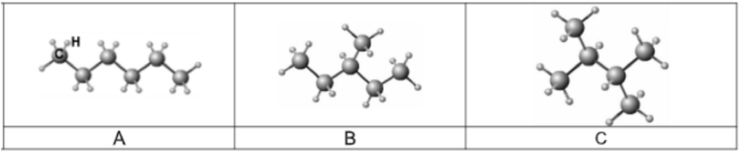
Surface tension can be used as an indication of the strength of the intermolecular forces in a substance. Watch the video illustrating an experiment to determine which substance (A, B or C) has the strongest intermolecular forces, and answer the questions that follow:
If you are unable to view the video: copy this link and watch it in separate window: https://drive.google.com/open?id=1Q-wqRmwSCm6v1DILa2huP7dTN58RvCFR
Question 14
14.

1.1 What is the independent variable in this experiment? [Link for video https://drive.google.com/open?id=1PwV0P8vsYTWPz-eOt_ZjDE44_EJDH0xK]

Question 15
15.

1.2 What is the dependent variable in this experiment?

Question 16
16.

1.3 Complete the table of results for the experiment shown in the video (using the text tool instead of the pen tool may be easier, the size of the text is adjusted using the pen thickness button):

Question 17
17.

Draggable itemarrow_right_altCorresponding Item
arrow_right_alt
arrow_right_alt
arrow_right_alt
Question 18
18.

1.5 Suggest ONE controlled variable for this experiment.

Question 2 (16 marks)
Consider the boiling points of the substances in the table and answer the questions that follow:
Question 19
19.

Question 20
20.

2.3 Draw TWO hydrogen sulphide molecules, indicating and labelling the following:
- the elements
- the partial charges
- intramolecular forces (name them)
- intermolecular forces (name them)
(Consider using the circle shape to represent atoms, remember you have an eraser too )

Question 21
21.

2.4 Why is the hydrogen sulphide molecule 'bent" in shape?

Question 22
22.

2.5 What determines bond polarity?

Question 23
23.

2.6 Carbon monoxide and hydrogen fluoride have vastly different boiling points. Use your knowledge of intermolecular forces to explain why their boiling points differ so greatly. Type each point on a new line!

THE END OF THE ASSESSMENT. CHECK YOUR ANSWERS, SUBMIT AND GO GRAB A HOT CHOCOLATE !
Which of the following compounds has the lowest boiling point?
hydrogen chloride
ammonia
bromine
neon
Which of the following contain polar covalent bonds, but experience no net dipole?
ammonia
oxygen
water
carbon dioxide
Identify the best explanation for differences in boiling points in each set of examples, by dragging them to appropriate explanation.
noble gases
butan-2-ol and butane-1,2-diol
hexane and methane
2-bromopentane and 2-bromo-2-methylbutane
halogens
NH3 and PH3
Differences in intermolecular forces strength
Differences in electron number and therefore the strength of the temporary dipole
Differences in opportunities for London forces
Differences in number of hydrogen bonds formed
Which answer correctly arranges these compounds in order of DECREASING boiling point?
DCAB
CADB
ABCD
BACD
Which substance has the lowest boiling point?
A
B
C
Impossible to say
Which option correctly arranges the substances in order of INCREASING boiling point?

CBA
ACB
CAB
ABC
BCA
Consider substances X, Y and Z, which all have a molar mass of 60 g.mol-1:


Which one of the following is the most likely boiling point of Y?
24
40
90
118
Match the following substances with the statement that best describes it.
bromine
A substance with a giant network structure in which the atoms are held together by covalent bonds
carbon dioxide
A substance with hydrogen bonding forces
graphite
A substance with a high melting point due to strong electrostatic attraction between cations and anions in the crystal lattice.
barium oxide
A substance which has London forces between atoms in liquid or solid state
hydrogen bromide
A molecular substance with non-polar covalent bonds
sodium
A molecular substance which has dipole-dipole intermolecular forces
ammonia
A substance that can conduct electricity in both the solid and liquid phase
helium
A linear molecular substance with polar covalent bonds
A molecule of hexane is considered to be non-polar. Which one of the statements best describes the reason why the molecule is non-polar?
Hexane is a hydrocarbon with single bonds only between carbons
The charge distribution of electrons within the hexane molecule is symmetrical
The electronegativity difference between C and H atoms is so small as to be considered polar
Hexane is linear molecule and hence considered to be non-polar
The table below lists three properties of solids.
Which one of the solids (A-D) has its particular properties listed correctly?
A
B
C
D
A scientist investigates a factor that influences the boiling points of alkanes. He determines the boiling points of the first six straight chain alkanes. Which one of these is the independent variable in this investigation?
Boiling point
Functional group
Degree of branching
Chain length
Which of these hypothetical substances will be a liquid at room temperature?

A
B
C
D
Which of the following exists as a solid in a molecular crystal lattice with dipole-dipole forces between particles/subunits?
chloromethane
methane
chlorine
calcium chloride
1.4 Match each of these substances to the IMF that is most likely present based on these results.
B
hydrogen bonding
C
London forces
A
dipole-dipole forces
2.1 The boiling point of methane is greater than that of oxygen because ....
a molecule of methane has a smaller mass than a molecule of oxygen
molecules of methane have stronger intermolecular forces than those of
oxygen
the molecule of methane is polar and oxygen is non-polar
molecules of methane form hydrogen bonds, but those of oxygen do not