Log in
Sign up for FREE
arrow_back
Library

G12 ASSESSMENT 22 MAY 2020

star
star
star
star
star
Last updated about 1 year ago
20 questions
2
4
2
2
1
2
1
2
2
1
2
4
1
3
2
2
7
1
4
5

CHEMICAL EQUILIBRIUM ASSESSMENT TOTAL 50 MARKS

Please note that any answers which appear to be cut and pasted will be assigned a zero. I am trusting you to be honest. You only have 1 hour to complete this assessment.

SECTION A - Short Questions (18 MARKS)

Question 1
1.

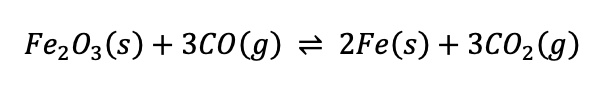
All of the following reactions are at equilibrium. The reaction which does not undergo an equilibrium shift when only the volume is changed is :

Question 2
2.

The following system is at equilibrium until a temperature disturbance is made.
When the temperature is increased describe what will happen to each of these when a new equilibrium has been reached (simply click/drag each item to the appropriate category). Note that negative marking will apply.

  • Amount of OF2(g)
  • ∆H value
  • Kc value
  • Amount of HF(g)
  • Increases
Question 3
3.

Write a Kc expression for the following system at equilibrium.

Question 4
4.

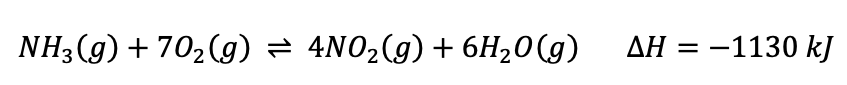
Consider the system at equilibrium:

Which of the following conditions will give the greatest yield of NO2? [Select all that apply but negative marking will apply]

Question 5
5.

Which of the following changes will affect the value of Kc?

Question 6
6.

Consider the Haber process:
Equilibrium is reached in a container of volume 2 dm3 at a temperature of 200 K.
At equilibrium, Kc = 75. The concentration of N2(g) is determined to be 0,023 mol.dm-3 and the concentration of H2(g) is 0,078 mol.dm-3 at equilibrium. What is the concentration of NH3(g) at equilibrium?

Question 7
7.

Consider the following equilibrium.
The volume of the system is increased.
Describe the effect on the following items at the new equilibrium, by comparing them to the original equilibrium before the disturbance was applied. Negative marking will apply.

  • Rate of forward reaction
  • Rate of reverse reaction
  • Kc value
  • Increases
  • Decreases
  • Remains the same
Question 8
8.

Consider the following system in equilibrium:
Which disturbance(s) would not favour the formation of orange dichromate ions? Negative marking applies.

Question 9
9.

The following hypothetical reaction X ⇌ Y has a Kc = 3. If the reaction started out with 12 X only, how many X and Y molecules will there be at this equilibrium?

SECTION B - Longer Questions (32 marks)

QUESTION 1

The following concentration-time graph illustrates an equilibrium system that experiences various disturbances.

The graph is drawn to scale, however the x-axis units reflect values of interest only.
Answer the questions that follow.
Question 10
10.

1.1 How many disturbances are represented in total on this graph?

Question 11
11.

1.2 Give one time interval during which the system is in equilibrium.

Question 12
12.

1.3 Using Le Chatelier's Principle, identify and explain the disturbance that was applied at 8 min.

Question 13
13.

1.4 Identify the disturbance at 20 min:

Question 14
14.

1.5 Provide a brief reason for your answer in Q1.4 above.

QUESTION 2

A mixture of 1,2 mol of NO(g) and 1,6 mol of H2(g) are placed in a 5 dm3 container at a certain temperature. The flask is sealed and the system is left to reach equilibrium, according to the folowing balanced chemical equation:
At equilibrium, the concentration of NO(g) is 0,18 mol.dm-3.
Question 15
15.

2.1 Write a Kc expression for this equilibrium. 2NO(g) + 2H2(g) ⇌ N2(g) + H2O(g)

Question 16
16.

2.2 Calculate the number of moles of NO at equilibrium.
[Info from above: A mixture of 1,2 mol of NO(g) and 1,6 mol of H2(g) are placed in a 5 dm3 container at a certain temperature. At equilibrium, the concentration of NO(g) is 0,18 mol.dm-3]

Question 17
17.

2.3 Calculate the value of Kc for this system. [Info from above: 2NO(g) + 2H2(g) ⇌ N2(g) + H2O(g) A mixture of 1,2 mol of NO(g) and 1,6 mol of H2(g) are placed in a 5 dm3 container at a certain temperature. At equilibrium, the concentration of NO(g) is 0,18 mol.dm-3]

Question 18
18.

2.4 What does the value of Kc indicate about the yield of the products?

Question 19
19.

2.5 When the temperature is decreased, the value of Kc decreases.
Is this reaction exothermic or endothermic? Explain your reasoning.

Question 20
20.

2.6 Complete the following rate graph, showing the effect of a decrease in pressure in this system.
Remember to include a suitable key or line labels.
PLEASE USE THE LINE FEATURE NOT PEN FEATURE WHEN DRAWING STRAIGHT LINES (you will have to use the orange colour to continue the red line as it is the closest match)

END OF ASSESSMENT - WELL DONE! [50 MARKS]
Decreases
Remains unchanged
high pressure
low pressure
low temperature
high temperature
addition of a suitable catalyst
0,37 mol.dm-3
4,4 x 10-3 mol.dm-3
0,029 mol.dm-3
Adding a suitable catalyst
increase in concentration
decrease in concentration
increase in temperature
decrease in temperature
increase in pressure
decrease in pressure