Log in
Sign up for FREE
arrow_back
Library

A2 Q2 Recovery

star
star
star
star
star
Last updated almost 4 years ago
15 questions
1
1
1
1
1
1
1
1
1
1
1
1
1
1
1
Question 1
1.

Simplify
completely.

Question 2
2.

Simplif6 the algebraic expression completely.

Question 3
3.

Simplify

Question 4
4.

Determine all expressions equivalent to

Question 5
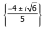
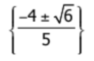
5.

Solve

Question 6
6.

Which of the following is a factor of

Question 7
7.

A car is traveling at 26 meters per second (m/sec) begins to decelerate at -13 m/sec. After traveling 26 m, the driver brings the car to a complete stop. The equation,
can be used to represent the situation, where t is the time it takes to stop. How longdid it take the driver to stop the car?
Type the numerical answer WITHOUT the units.

Question 8
8.

Which of the following is equivalent to

Question 9
9.

If 9-i is the sum of two complex numbers, and one of the binomials is 12-5i, which of the following represents the other binomial?

Question 10
10.

What number is equivalent to

Question 11
11.

Perfom the indicated operation and simplify

Question 12
12.

A polynomial function P(x) has zeros -1, 6, 2i. Which of the following represents the factors of P(x)

Question 13
13.

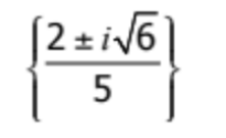
Question 14
14.

Solve

Question 15
15.

The data set represents the number of mocking birds counted in a state park in 6 months of last year.
Using the quadratic curve of best fit, what is the number of birds seen in the first month of last year?

Determine the zeros of