Log in
Sign up for FREE
arrow_back
Library

A2 Q3 Recovery

star
star
star
star
star
Last updated almost 4 years ago
20 questions
1
1
1
1
1
1
1
1
1
1
1
1
1
1
1
1
1
1
1
1
Question 1
1.

Question 2
2.

Question 3
3.

Question 4
4.

Question 5
5.

Question 6
6.

Question 7
7.

Question 8
8.

Question 9
9.

Question 10
10.

Question 11
11.

The graph of functions f(x) and g(x) are shown in the graph. How many solutions does the system have?

Question 12
12.

Question 13
13.

Question 14
14.

Question 15
15.

Question 16
16.

Question 17
17.

Question 18
18.

Question 19
19.

Question 20
20.

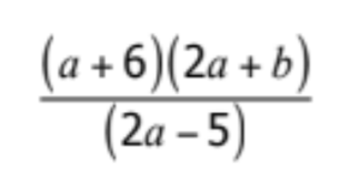
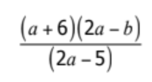
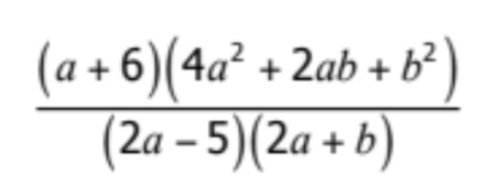
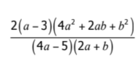
Simplify the algebraic expression completely.
Simplify
completely.
Simplify completely.
Simplify the expression completely.
-x-1
1
-1
x+1
Solve
over all real numbers.
{ }
{0}
{1}
{-1,1}
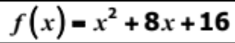
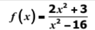
What are the vertical asymptotes of
x = 2
x = 1
x = -1
x = -2
thereare no vertical asymptotes
Determine all possible functions with an asyptote of x = 4
Determine the number of horizontal and vertical asyptotes for
0
1
2
3
What are the approximate solutions to this system of equations?
(-1,0) and (1,-5)
(-1,5) and (5,1)
(-1,5) and (1,6)
(-1,-1) and (0,0)
Identify the y-coordinate of each point in the solution set of the system of equations.

-4
3
3.78
-3.78
-16
1.58
16
4
-1.58
-3
Simplify f(g(x)) in terms of x if

Given

Which graph represents f(g(x))?
Determin the inverse of
Which of the following scenarios represents a combination?
The number of ways 6 people can be seated at a round table if 2 people must be seated next to each other.
The letters r,s,t,v,w are used to form 5-letter passwords for a security system.
The arrangement of 8 books on a shelf.
A seven person committee selected from the junior class.
Twelve runners are in a cross country race. How many different ways
can they finish first, second, and third?
1320
132
2200
220
If a temperature is constant, the volume of a gas varies inversely as its pressure. A gas with a pressure of 150 pounds per square inch occupies a volume of 25 cubic feet. What is the constant of proportionality for this variation?
3750
673
6
1/6
The electrical resistance of a wire varies directly as its length and inversely as the square of its diameter. A wire with a length of 200 inches and a diameter of one-quarter of an inch has a resistance of 20 ohms. Find the electrical resistance in a 500 inch wire with the same diameter.
1250 ohms
200 ohms
50 ohms
5000 ohms
The weights of eggs produced on a farm are normally distributed with a mean of 1.4 ounces and a standard deviation of 0.4 ounces. To be graded extra large, an egg must weigh at least 2 ounces. What is the probability that an egg from this farm will be graded extra large?
0.934
0.157
0.066
0.025
The useful life of a radial tire is normally distributed with a mean of 30,000 miles and a standard deviation of 5000 miles. The company makes 10,000 tires a month. What is the probability that if a radial tire is purchased at random, it will last between 20,000 and 35,000 miles?
94%
81%
68%
47%