What is a Function?
star
star
star
star
star
Last updated over 5 years ago
10 questions

1
Check the relations that represent a function.
Check the relations that represent a function.
1
Check the relations that represent a function.
Check the relations that represent a function.

1
Check the relations that represent a function.
Check the relations that represent a function.
1
Check the relations that are functions.
Check the relations that are functions.

1
Check the relations that represent a function.
Check the relations that represent a function.
1
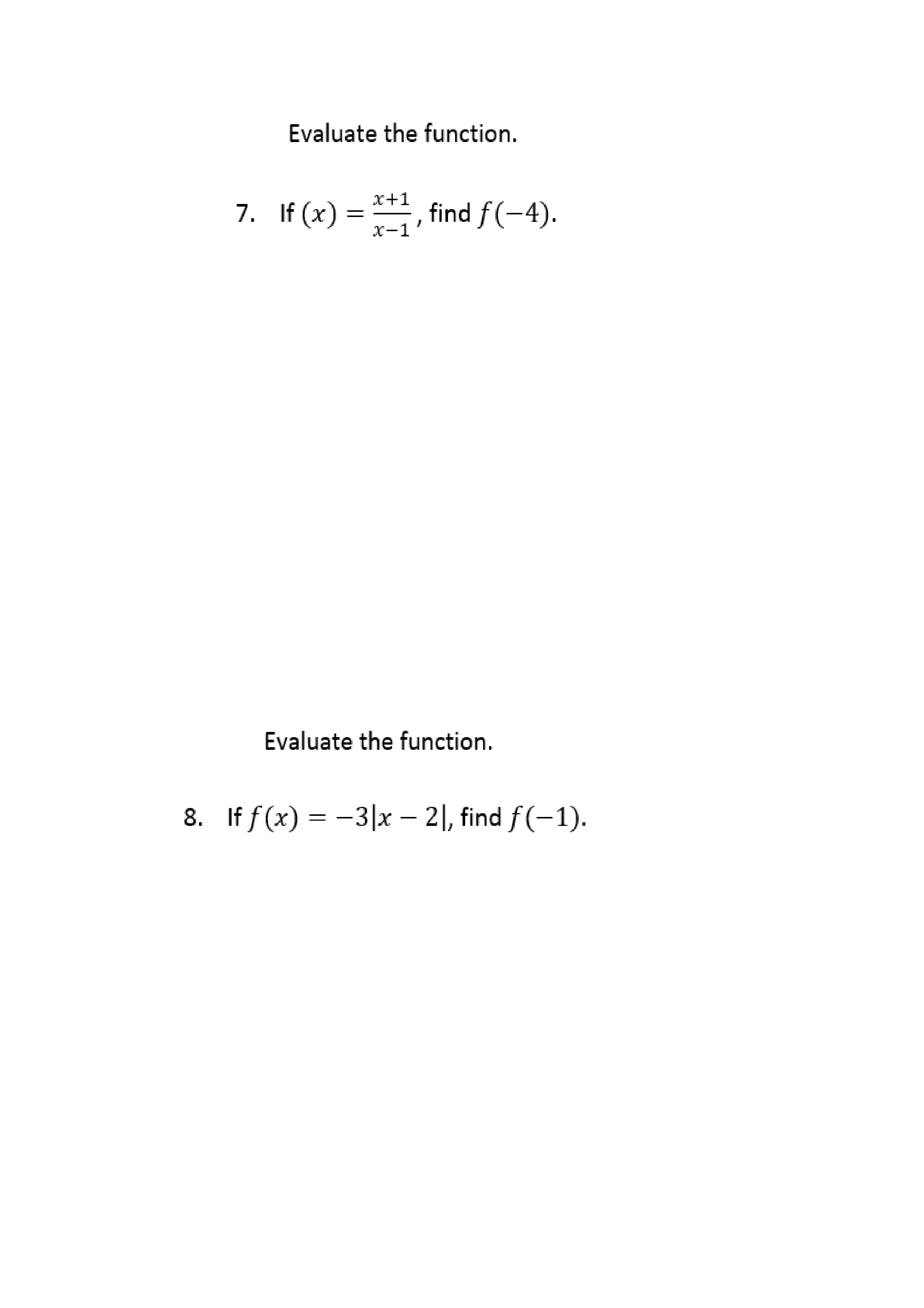
Enter your answer as an integer or fraction in simplest form.
Enter your answer as an integer or fraction in simplest form.

1
Enter your answer as an integer or fraction in simplest form.
Enter your answer as an integer or fraction in simplest form.
1
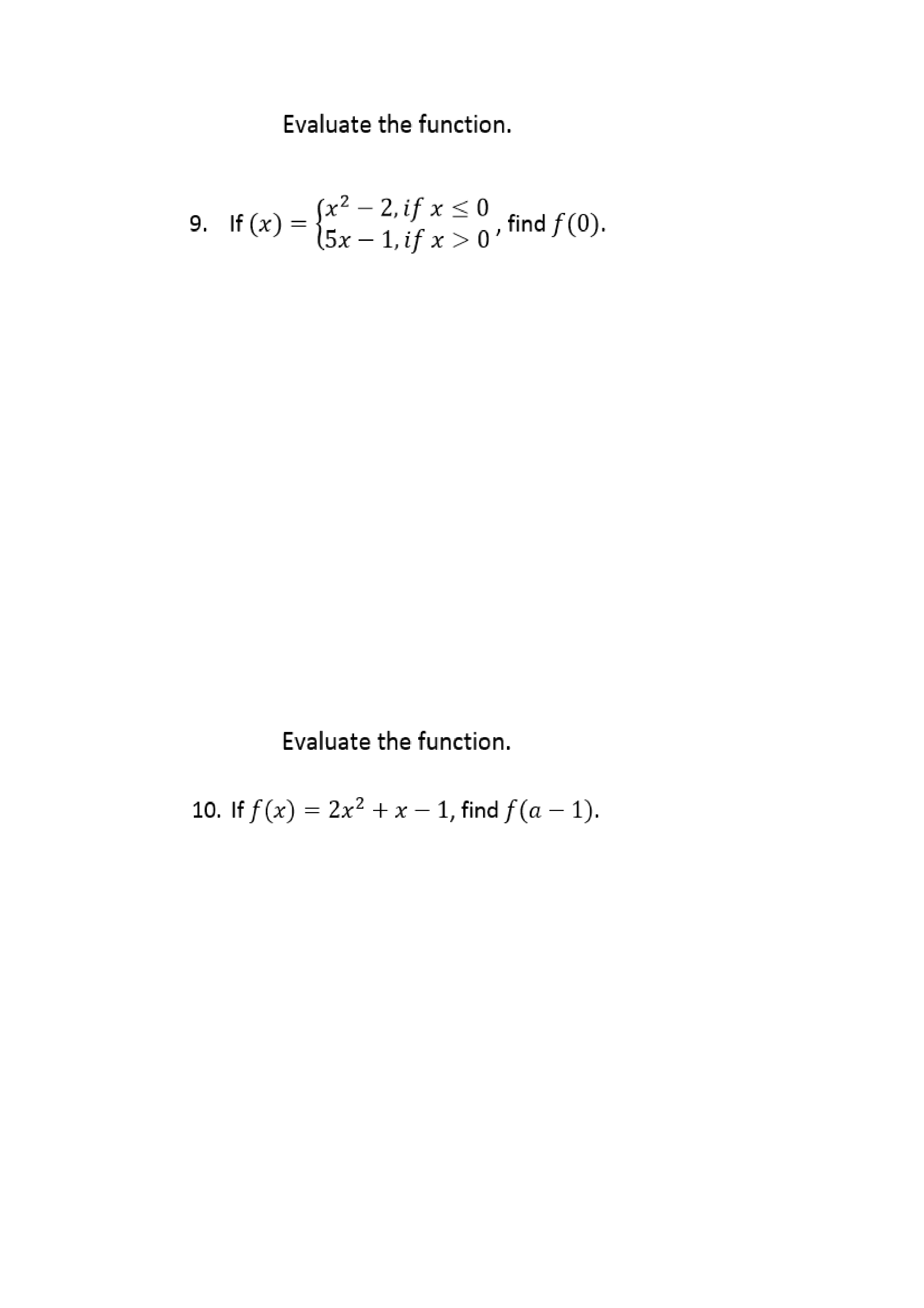
Enter your answer as an integer or fraction in simplest form.
Enter your answer as an integer or fraction in simplest form.

1
Enter your answer as an integer or fraction in simplest form.
Enter your answer as an integer or fraction in simplest form.
1
Enter your answer as an expression in terms of a without parentheses.
Enter your answer as an expression in terms of a without parentheses.