Log in
Sign up for FREE
arrow_back
Library

COAL Pre-Test

star
star
star
star
star
Last updated almost 6 years ago
25 questions
1
MGSE8.G.4
1
MGSE8.EE.2
1
MGSE8.EE.7.b
1
MGSE8.EE.7.b
1
MGSE8.EE.6
1
MGSE8.SP.2
1
MGSE8.EE.1
1
MGSE8.EE.1
1
MGSE8.EE.7.a
1
MGSE8.EE.2
1
MGSE8.EE.1
1
MGSE8.F.4
1
MGSE8.F.4
1
MGSE8.EE.4
1
MGSE8.EE.8.a
1
MGSE8.EE.7.b
1
MGSE8.G.7
1
MGSE8.SP.4.a
1
MGSE8.F.4
1
MGSE8.EE.8.b
1
MGSE8.F.4
1
MGSE8.F.4
1
MGSE8.NS.2
1
MGSE8.EE.3
1
MGSE8.G.7
Question 1
1.

Question 2
2.

Question 3
3.

Question 4
4.

Question 5
5.

Question 6
6.

Question 7
7.

Question 8
8.

Question 9
9.

Question 10
10.

Question 11
11.

Question 12
12.

What is the rate of change of the function shown in teh table below? Show your work in the space provided. Put a box around your final answer.

Question 13
13.

Natasha worked for part of the year before receiving a raise in her hourly rate of pay. The graph below shows the amount of money she has made this year and the hours she has worked since she received the raise. Enter the initial amount of money, in dollars, that Natasha made.

Question 14
14.

Question 15
15.

Question 16
16.

Enter the value for x that makes the equation 16 = āˆ’ 4(x āˆ’ 1) + 4 true.

Question 17
17.

The diagram below shows the locations of landmarks in a local park. What is the distance in meters between the flagpole and the statue, rounded to the nearest tenth?


Question 18
18.

Question 19
19.

Question 20
20.

Question 21
21.

Question 22
22.

Question 23
23.

On the number line, indicate where the approximate value of √47 is to the nearest tenth.

Question 24
24.

Question 25
25.

There are two shapes on the coordinate plane shown. Which statement about the shapes is true?
Shape A can be matched to shape B by reflecting it about the x-axis, then about the y-axis, and then shifting 1 on the x-axis and –3 on the y-axis.
Shape A can be matched to shape B by reflecting it about the y-axis, then about the x-axis, and then dilating it from the origin by a factor of 1/2.
Shape A can be matched to shape B by reflecting about the origin and then shifting –3 on the x-axis and 1 on the y-axis.
Shape A can be matched to shape B by reflecting it about the y-axis, then about the x-axis, and then dilating it from the origin by a factor of 2.
A
B
C
D
Solve for x.

5(x - 2) = 3x + 6x - 14
x = -7
x = 1
x = -2
x = 7
Solve for m.

4(2m - 3) = 5m + 12
m = 8
m = -8
m = 0
m = 1.9
The coordinate plane shows two similar right triangles, each with its slope on the same line. Which of the following shows why the rise and run of each triangle is the same?
Hint: Which answer choice uses the slope formula correctly.

A
B
C
D
Terrence created a scatter plot to represent the total number of goals scored by each player on his soccer team in a season and the number of hours the player spent at soccer practice. Which graph shows the line of best fit for the data in Terrence's scatter plot?
A
B
C
D
Which property do you use when you keep the same base and subtract the exponent?
Multiplication Property
Power to Power
Quotient Property
Zero Property of Exponents
Negative Property of Exponents
Which property do you use when you there is an exponent of zero?
Multiplication Property
Power to Power
Quotient Property
Zero Property of Exponents
Negative Property of Exponents
Select ALL equations that have a solution of 6.
A
B
C
D
Solve for a.
a = -32
a = -8
a = -4
a = -21
Which of the following expressions is equivalent to...
Four students wrote the expressions in the table. Evaluate the expressions and order them
from LEAST to GREATEST value.

Corey, Ariella, Michaela, Xander
Ariella, Michaela, Corey, Xander
Michaela, Corey, Xander, Ariella
Xander, Corey, Ariella, Michaela
Which graph represents the solution to the linear system?

A
B
C
D
Fifty students were asked if they played spring sports and/or fall sports. The data is listed below. Which two-way table best represents the data given?
  • 7 students do not play either sports
  • 21 students play both sports
  • 17 students play only fall sports
  • 5 students play only spring sports

A
B
C
D
Which of the following situations best matches the data in the table?
Robbie starts out with 5 pieces of candy, and eats 3 pieces of candy every minute.
Zach spendy $3 each day.
Tori earns $5 an hour plus a fee of $3 for working.
Riley babysits 5 babied every 3 hours.
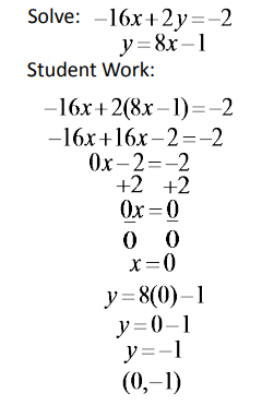
This student worked out the system of equation below using theĀ substitution method. The student made a mistake. What mistake was made in the following problem below?


You can't divide by zero in math, therefore, the solution should have been no solution.
The studetn combined -16x + 16x incorrectly.
The student should have substituted 8x - 1 in for x instead of y.
-16x + 16x should have been -32x
A line has a slope that is undefined. Which of the following points could this line pass through?
(6, 4) and (4, -5)
(8, 5) and (8, -5)
(2, 3) and (4, 3)
(-7, 1) and (7, 6)
A line has a slope of zero. Which of the following points could this line pass through?
(-9, 7) and (9, -7)
(1, 4) and (2, 5)
(3, -6) and (7, -6)
(12, 9) and (12, 6)
Select all numbers that correctly written in scientific notation.
In the right triangle shown, what is the value of PQ?

2 cm
4 cm
8 cm
16 cm