Log in
Sign up for FREE
arrow_back
Library
6.1 - Properties of Exponents
By Angele Blick
star
star
star
star
star
Share
share
Last updated over 5 years ago
12 questions
Add this activity
Simplify each of the following. Remember, no negative powers should be in your final answer.
1 point
1
Question 1
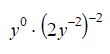
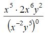
1.
visibility
View drawing
1 point
1
Question 2
2.
visibility
View drawing
1 point
1
Question 3
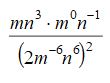
3.
visibility
View drawing
1 point
1
Question 4
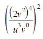
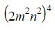
4.
visibility
View drawing
1 point
1
Question 5
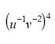
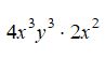
5.
visibility
View drawing
1 point
1
Question 6
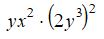
6.
visibility
View drawing
1 point
1
Question 7
7.
visibility
View drawing
1 point
1
Question 8
8.
visibility
View drawing
1 point
1
Question 9
9.
visibility
View drawing
1 point
1
Question 10
10.
visibility
View drawing
1 point
1
Question 11
11.
visibility
View drawing
1 point
1
Question 12
12.
visibility
View drawing