Log in
Sign up for FREE
arrow_back
Library
Evaluate Functions
By Katelyn Miller
star
star
star
star
star
Share
share
Last updated over 5 years ago
10 questions
Add this activity
10 points
10
Question 1
1.
what is f(-2) if f(x) = -2x - 3
-7
1
-1
7
10 points
10
Question 2
2.
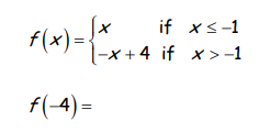
8
66
11
15
10 points
10
Question 3
3.
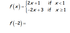
36
-28
68
-60
10 points
10
Question 4
4.
visibility
View drawing
10 points
10
Question 5
5.
visibility
View drawing
10 points
10
Question 6
6.
visibility
View drawing
10 points
10
Question 7
7.
visibility
View drawing
10 points
10
Question 8
8.
visibility
View drawing
10 points
10
Question 9
9.
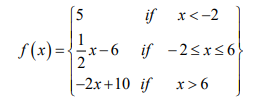
f(10) =
visibility
View drawing
10 points
10
Question 10
10.
f(4) =
visibility
View drawing