Log in
Sign up for FREE
arrow_back
Library
1B-Transformations of the absolute value functions.
By gerardo lopez
star
star
star
star
star
Share
share
Last updated over 5 years ago
8 questions
Add this activity
Note from the author:
Transformation of absolute value
1 point
1
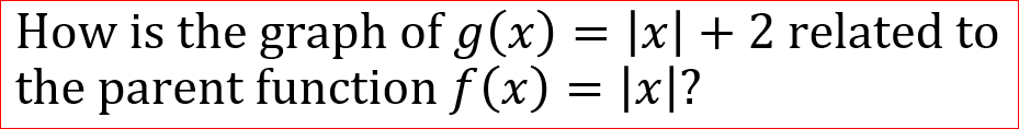
Question 1
1.
The graph is translated 2 units to the right of the graph of the parent function.
The graph is translated 2 units up from the graph of the parent function.
The graph is translated 2 units down from the graph of the parent function.
The graph is translated 2 units to the left of the graph of the parent function.
F.BF.3
1 point
1
Question 2
2.
We have released a new and improved Graphing question type! Students will no longer be able to answer this question.
F.BF.3
1 point
1
Question 3
3.
The graph is vertically stetched by factor of 3 with respect to the parent function.
The graph is translated 3 units to the left of the graph of the parent function.
The graph is translated 3 units to the right of the graph of the parent function.
The graph is vertically shrunked by a factor of 3 with respect to the parent function.
F.BF.3
1 point
1
Question 4
4.
We have released a new and improved Graphing question type! Students will no longer be able to answer this question.
F.BF.3
1 point
1
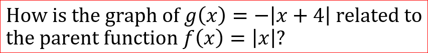
Question 5
5.
The graph is reflected about the x axis, then shited right 4 units.
The graph is translated 4 units to the left of the graph of the parent function.
The graph is reflected about the x axis, then shifted left 4 units.
The graph is translated 4 units to the right of the graph of the parent function.
F.BF.3
2 points
2
Question 6
6.
We have released a new and improved Graphing question type! Students will no longer be able to answer this question.
F.BF.3
1 point
1
Question 7
7.
1 point
1
Question 8
8.