Topic 4.3a
star
star
star
star
star
Last updated almost 5 years ago
5 questions
1
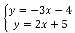
Classify each system of linear equations
Classify each system of linear equations
- Parallel Lines
- Intersecting lines
- Colinear lines
- Consistent and Independent
- Consistant and Dependent
- Inconsistant
1
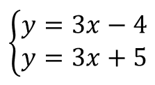
Classify each system of linear equations
Classify each system of linear equations
- Consistent and Independent
- Consistant and Dependent
- Inconsistant
1
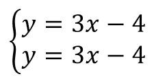
Classify each system of linear equations
Classify each system of linear equations
- Infinitely many solutions
- No solutions
- 1 solution
- Consistent and Independent
- Consistant and Dependent
- Inconsistant
1
Alex started jogging at a rate of 4 miles per hour. After she jogged 1 mile, her friend Abby started jogging on the same path at a pace of 4 miles per hour. If they continue to jog at the same rate, will Abby ever catch up with Alex?
Alex started jogging at a rate of 4 miles per hour. After she jogged 1 mile, her friend Abby started jogging on the same path at a pace of 4 miles per hour. If they continue to jog at the same rate, will Abby ever catch up with Alex?
1
Megan started jogging at a rate of 3 miles per hour. After she jogged 4 mile, her friend Carli started jogging on the same path at a pace of 5 miles per hour. If they continue to jog at the same rate, will Carli ever catch up with Megan?
Megan started jogging at a rate of 3 miles per hour. After she jogged 4 mile, her friend Carli started jogging on the same path at a pace of 5 miles per hour. If they continue to jog at the same rate, will Carli ever catch up with Megan?