Log in
Sign up for FREE
arrow_back
Library
August 27th - Solving Absolute Value Functions
By Minerva Nelson
star
star
star
star
star
Share
share
Last updated over 5 years ago
4 questions
Add this activity
1
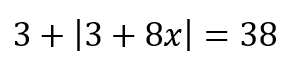
Question 1
1.
Solve the following Absolute Value equation.
visibility
View drawing
1
1
1
Question 2
2.
Solve the following Absolute Value equation.
visibility
View drawing
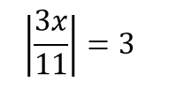
Question 3
3.
Solve the following Absolute Value equation.
visibility
View drawing
Question 4
4.
Solve the following Absolute Value equation.
visibility
View drawing