Log in
Sign up for FREE
arrow_back
Library

Test 2.4, 2.5, 2.6

star
star
star
star
star
Last updated over 5 years ago
24 questions
1
1
1
1
1
1
1
1
1
1
1
1
1
1
1
1
1
1
1
1
1
1
1
1
Question 1
1.

Question 2
2.

Question 3
3.

Question 4
4.

Question 5
5.

Question 6
6.

Question 7
7.

Question 8
8.

Question 9
9.

Determine the domain of the function. Write the answer in interval notation. Use a capital U for union if needed. No spaces.

Question 10
10.

Determine the domain of the function. Write the answer in interval notation. Use a capital U for union if needed. No spaces.

Question 11
11.

Determine the domain of the function. Write the answer in interval notation. Use a capital U for union if needed. No spaces.

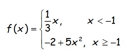
Question 12
12.

Given:

Find f(3). If necessary leave your answer as a fraction.

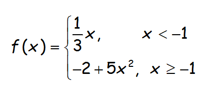
Question 13
13.

Given:
Find f(-5)+f(5). If necessary leave your answer as a fraction.

Question 14
14.

Write the resulting equation of


after the given transformation is applied:

Shifted right 3, up 2, and reflected across the x axis. Start your answer with y=

Question 15
15.

If given the point (4,2) is on f(x), what will the new coordinates be after applying the following transformations? No spaces.
2f(x)

Question 16
16.

If given the point (4,2) is on f(x), what will the new coordinates be after applying the following transformations? No spaces.
f(x-2)+1

Question 17
17.

For the given a function f(x) the domain is -7 < x < 7 and the range is 0 <f(x) < 7. Look at the transformation below and describe each of the following:

Verbally state the transformation.

Question 18
18.

For the given a function f(x) the domain is -7 < x < 7 and the range is 0 <f(x) < 7. Look at the transformation below and describe each of the following:

State the domain. No spaces.

Question 19
19.

For the given a function f(x) the domain is -7 < x < 7 and the range is 0 <f(x) < 7. Look at the transformation below and describe each of the following:

State the range. No spaces.

Question 20
20.




Find g(-1)

Question 21
21.




Find f(-3)-F(-1)

Question 22
22.



Find F(x-3)

Question 23
23.

Given:


Find

Question 24
24.
Use the vertical line test to determine which graph or graphs represent y as a function of x.
Given the following graph, which selection represents its domain and range?
Domain: (-3, 5]; Range: [-6, 6]
Domain: [-3, 5); Range [-6, 6]
Domain: [-3, 5]: Range: (-6, 5]
Domain: (-3, 5); Range [-6, 5)
Find the graph and equation of the function obtained by performing a translation 4 units right and 2 units down on the parent function






Which relation is a function. Justify.
{(5, -3), (8, 4), (9, 9), (9, 10)}
{(5, -3), (7, 4), (8, 4), (9, 10)}
The functions f(x) and g(x) have the same domain.

True
False
Every relation is a function.
True
False
True
False
If the point (2, 3) lies on a graph and is transformed using the transformation below, the new point is
(2, -3).

True
False