Log in
Sign up for FREE
arrow_back
Library

GWHS Unit 2 Problem Set

star
star
star
star
star
Last updated over 2 years ago
20 questions
1
1
1
1
1
1
1
1
1
1
1
1
1
1
1
1
1
1
1
1

Unit 2 Problem Set

This is just a study guide to help you think about the concepts we covered in this unit, but study guides do not always cover or review everything. Here's some things you can do to prepare for the Unit 2 Exam:

1) Make sure you can explain each of your answers to this Problem Set. Do you understand the concept or did you just memorize arithmatic?

2) Complete the Unit 2 Progress Check (MC & FRQ) on AP Classroom.

3) Review your notes. We covered the following topics this unit:

- Potential Energy Diagrams
- Lewis Electron Dot Structures
- VSEPR (Molecule Shapes)
- Resonance
- Formal Charge
- Hybridization
- Sigma/Pi bonds
- Polarity
- Lattice Energy
- Alloys

The hardest part of AP exams is that you have to think flexibly. If you truly understand a topic, you can answer a question no matter how it is presented.
Question 1
1.

On the bond energy diagram determine the:
1) bond length
2) amount of energy that was released when the bond formed.
3) amount of energy absorbed when the bond broke.
4) point where there is no attraction or repulsion.

Question 2
2.

The potential energy diagram is given for a C≡O. A student clains that the curve for a C-O would be less deep and that it would be shift to the right of the curve for C≡O. Do you agree with this claim? Explain why or why not.

Question 3
3.

Question 4
4.

Question 5
5.

Question 6
6.

Draw the Lewis electron dot diagram for each of the molecules listed below:
Cl2, CH4, PBr3, IF5, SF4

Question 7
7.

Draggable itemarrow_right_altCorresponding Item
arrow_right_alt
arrow_right_alt
arrow_right_alt
arrow_right_alt
arrow_right_alt
Question 8
8.

Question 9
9.

Draw the lewis electron dot diagram, including all resonance structures, for N2O.

Hint: Nitrogen is the center atom.

Question 10
10.

Determine which of the resonance structures you drew in the previous question has the most favorable electron arrangement.

YOU MUST HAVE THE EQUATION MEMORIZED.

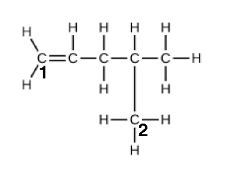
Use the image below to answer questions ________ .

Question 11
11.

What is the hybridization of carbon #1?

Question 12
12.

What is the hybridization of carbon #2?

Question 13
13.

How many sigma and pi bonds are around carbon #1?

Question 14
14.

How many sigma and pi bonds are around carbon #2?

Question 15
15.

Question 16
16.

Question 17
17.

Question 18
18.

The energy required to separate the ions in Mg(OH)2 crystal lattice into individual Mg2+ (g) and OH- (g) ions, as represented in the table below, is known as the lattice energy of Mg(OH)2 (s). As shown in the table, the lattice energy of Sr(OH)2 (s) is less than the lattice energy of Mg(OH)2 (s). Explain why in terms of periodic properties (which periodic trend is causing the difference) and Coulomb's law.

Question 19
19.

Question 20
20.

Rank each compound from weakest bond strength to strongest bond strength. (weakest is ranked first)
Rank each of the molecules below from highest bond energy to lowest bond energy. (highest is ranked first)
F - N
F - O
F - H
F - F
Rank each of the molecules below from shortest bond length to the longest bond length. (shortest bond is ranked first)
F - O
F - F
F - H
F - N
Match each compound with it's correct molecule geometry.

(You must have the 2 - 4 total electron domain rows memorized for the Unit 2 exam)
PBr3
linear
SF4
tetrahedral
IF5
trigonal pyramidal
CH4
square pyramidal
Cl2
seesaw
Determine the polarity of each of the molecules from the previous question.
Cl2
CH4
PBr3
IF5
SF4
Polar
Nonpolar
Which substance can be described as cations bonded together by delocalized electrons?
KCl (s)
Ag (s)
HCl (l)
S8 (s)
Which of the following groups contains no ionic compounds?
PCl5, LiBr, Zn(OH)2
KOH, CCl4, SF4
HCN, NO2, Ca(NO3)2
CH2O, H2S, NH3
Which of the following correctly indicates whether the solid represented by the particulate model shown above conducts electricity and explains why or why not?

It conducts electricity because it is made of positive and negative ions.
It conducts electricity because it is made of particles of different sizes.
It does not conduct electricity because its ions cannot move freely within the solid.
It does not conduct electricity because there are small spaces between the particles.
Copper atoms and zinc atoms have the same atomic radius, 135 picometers. Based on this information, which of the following diagrams best represents an alloy containing only copper and zinc atoms?
Steel is an alloy containing Fe atoms and C atoms. Which of the following diagrams best represents the particle-level structure of steel?