Log in
Sign up for FREE
arrow_back
Library

Unit 1 Test

star
star
star
star
star
Last updated over 5 years ago
13 questions
2
2
2
2
5
4
4
2
4
4
2
4
3
Question 1
1.

Question 2
2.

Evaluate f(3) in the piecewise function below

Question 3
3.

Evaluate 2f(-5) + f(6) in the piecewise function below.

Question 4
4.

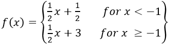
Evaluate f(-3) in the piecewise function below. Write your answer as a decimal.

Question 5
5.

In show your work, graph the piecewise function (the piecewise will be a picture when you click show your work).

Question 6
6.

Question 7
7.

Draggable itemarrow_right_altCorresponding Item
arrow_right_alt
arrow_right_alt
arrow_right_alt
arrow_right_alt
Question 8
8.

Question 9
9.
Draggable itemarrow_right_altCorresponding Item
arrow_right_alt
arrow_right_alt
arrow_right_alt
arrow_right_alt
Question 10
10.

Solve:

Question 11
11.

Solve:

Question 12
12.

Solve, then graph your answer on a number line:

Question 13
13.

Solve the absolute value equation below.
x= -14 & x=6
No Solution
x= -6 & x=6
x=-14 & x=14
Check the boxes that describe the transfomations of the following function.
Down 4
Reflect over the x axis
Vertical stretch of 1/3
Left 1
Up 4
Right 1
Vertical shrink of 1/3
Reflect over the y axis
Match each question with it's corresponding interval, using the graph below:
Domain
Range
Decreasing
Increasing
Which equation represents the graph below:
At the M&M company, the CEO wants to increase the tolerance for each bag of peanut M&M’s. Each bag currently contains 80 peanut M&M’s. The CEO wants a tolerance of 5 M&M’s. Which absolute value inequality represents the amount of M&M's?