Log in
Sign up for FREE
arrow_back
Library
Module 2 Lesson 6 Problem Set
By ALEXANDRA HEBERT
star
star
star
star
star
Share
share
Last updated over 5 years ago
7 questions
Add this activity
1
1
1
1
1
1
1
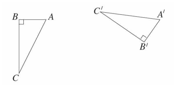
Use the following diagram for Problems 1β5. Use your transparency as needed.
Question 1
1.
Question 2
2.
Question 3
3.
Question 4
4.
Connect point π© to point π©β², point πͺ to point πͺβ², and point π¨ to point π¨β².
visibility
View drawing
Question 5
5.
Question 6
6.
What do you think the center of rotation is on triangles ABC and A'B'C'?
Write your answer as a coordinate. For example (1,2)
The picture below shows right triangles π¨π©πͺ and π¨β²π©β²πͺβ², where the right angles are at π© and π©β².
Question 7
7.
is there a πππΒ° rotation that would map β³π¨π©πͺ onto β³ π¨β²π©β²πͺβ²? Explain.
Looking only at segment π΅πΆ, is it possible that a 180Β° rotation would map segment π΅πΆ onto segment π΅β²πΆβ²?
Yes, it is possible because the segments are perpendicular.
Yes, it is possible because the segments are parallel.
No, it is not possible because the segments are parallel.
No, it is not possible because the segments are perpendicular.
Looking only at segment π΄π΅, is it possible that a 180Β° rotation would map segment π΄π΅ onto segment π΄β²π΅β²?
Yes, it is possible because the segments are perpendicular.
No, it is not possible because the segments are perpendicular.
No, it is not possible because the segments are parallel.
Yes, it is possible because the segments are parallel.
Looking only at segment π¨πͺ, is it possible that a πππΒ° rotation would map segment π¨πͺ onto segment π¨β²πͺβ²?
No, it is not possible because the segments are parallel.
No, it is not possible because the segments are perpendicular.
Yes, it is possible because the segments are perpendicular.
Yes, it is possible because the segments are parallel.
What do you notice?
Perpendicular lines are created
Parallel lines are created
All lines intersect at one point