Log in
Sign up for FREE
arrow_back
Library
Operations with Polynomials Practice
By LAKETA BLUE
star
star
star
star
star
Share
share
Last updated over 5 years ago
7 questions
Add this activity
1
MGSE9-12.A.APR.1
1
MGSE9-12.A.APR.1
1
MGSE9-12.A.APR.1
1
MGSE9-12.A.APR.1
1
MGSE9-12.A.APR.6
1
MGSE9-12.A.APR.6
1
MGSE9-12.A.APR.6
Question 1
1.
Question 2
2.
Question 3
3.
Question 4
4.
Question 5
5.
Divide using long division
visibility
View drawing
Question 6
6.
Divide using Synthetic division
visibility
View drawing
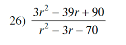
Question 7
7.
Rewrite the Expression using factoring.
visibility
View drawing
Add or subtract the polynomial. Make sure your final answer is in standard form.
Find each product.
Identify the degree of each polynomial
-8
3x + 7
Linear
Constant
Quadratic
Cubic