Log in
Sign up for FREE
arrow_back
Library

Objective 7 Quiz

star
star
star
star
star
Last updated almost 5 years ago
7 questions
4
4
4
4
4
4
4
Question 1
1.

Question 2
2.

Question 3
3.

Question 4
4.

Question 5
5.

Question 6
6.

Question 7
7.

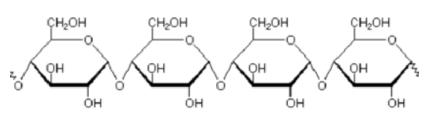
The molecule shown is a _____________ and is classified as a _____________.

polymer, protein
monomer, protein
monomer, nucleic acid
polymer, lipid
polymer, carbohydrate
monomer, carbohydrate
polymer, nucleic acid
monomer, lipid
The molecule shown is a _____________ and is classified as a _____________.
monomer, nucleic acids
polymer, lipids
monomer, lipids
polymer, carbohydrates
monomer, carbohydrates
monomer, proteins
polymer, nucleic acids
polymer, proteins
I am about to run a marathon tomorrow. I want to eat which macromolecule to give me energy?
Proteins
Carbohydrates
Lipids
Nucleic Acids
You recently lost a bit of weight and feel like you get cold more easily than you used too. You call your doctor worried something is wrong. The doctor reassures you that you are fine, when you lost that weight you lost a lot of a certain macromolecule that provides insulation, in the bottom layer of the skin. What macromolecule is your doctor referring to?
Carbohydrates
Nucleic Acids
Proteins
Lipids
Your digestive system is moving a little slowly. You go to the doctors and they recommend you take a supplement filled with digestive enzymes. They say this will speed up the reactions that break down your food. What macromolecule makes up these digestive enzymes the doctor gave you?
Carbohydrates
Lipids
Proteins
Nucleic Acids
A biochemist was given a sample of a unknown organic sybstance and asked to determine what macromolecule was found in it. The chart shown represents the results of the biochemists analysis of the sample. Based on these results, to which class of macromolecules did the sample belong?
Proteins
Lipids
Carbohydrates
Nucleic Acdis
DNA is a polymer classified as what macromolecule?

Carbohydrates
Proteins
Lipids
Nucleic Acids