Log in
Sign up for FREE
arrow_back
Library
AAH Quiz 1 (Matrices)
By Bridget Nuno
star
star
star
star
star
Share
share
Last updated over 5 years ago
7 questions
Add this activity
1
1
1
1
1
1
1
Question 1
1.
What are the dimensions of the following matrix?
3 x 2
3 x 3
2 x 3
2 x 2
Question 2
2.
Add the following matrices:
visibility
View drawing
Question 3
3.
Perform the following matrix operation:
visibility
View drawing
Question 4
4.
[B] x [E]
Question 5
5.
Multiply the following two matrices: (Be sure to show your work for full credit)
visibility
View drawing
Question 6
6.
What is the determinant of the following matrix?
49
-68
Question 7
7.
Find the inverse of the following matrix. Show your work.
visibility
View drawing
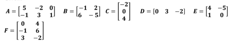
Using the following matrices, select which matrix multiplication operations ARE POSSIBLE:
[B] x [C]
[C] x [B]
[D] x [C]
[D] x [A]
[F] x [B]
79
68
does not exist