Log in
Sign up for FREE
arrow_back
Library

Equations and Inequalities Quiz

star
star
star
star
star
Last updated almost 4 years ago
8 questions
1
1
1
1
1
5
5
1
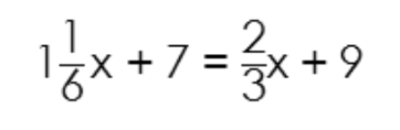
Question 1
1.

Solve for x

Question 2
2.

Marc has 45 CDs in his collection, and Corinna has 61. If Marc buys 4 new CDs each month and Corinna buys 3 new CDs each month, after how many months will Marc and Corinna have the same number of CDs?

Question 3
3.

Question 4
4.

How many solutions does each equation have?

  • 10 - 8a = 2(5 - 4a)
  • 6m - 5 = 7m + 7 - m
  • 30 - 7n = 100 + n
  • One Solution
  • No Solutions
  • Infinitely Many Solutions
Question 5
5.

If pv=nrt, what does r equal?

Question 6
6.

Write and solve an inequality for the statement below.


3 less than the product of 6 and a number n is greater than -18

Question 7
7.

Question 8
8.

Solve and graph the inequality:
3(x -2) > 2x

Which properties do you use to solve y2 - y1 = m(x2 - x1) for x2
Commutative Property
Addition Property
Distribution
Combine Like Terms
Multiplication Property
Additive Inverse
Multiplicative Inverse Property
Subtraction Property