Example Assessent
star
star
star
star
star
Last updated over 5 years ago
3 questions
1
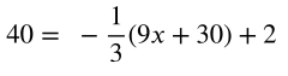
Solve the equation. Make sure to show your work. Circle your answer and check your solution.
Solve the equation. Make sure to show your work. Circle your answer and check your solution.
1
Solve the equation. Make sure to show your work. Circle your answer and check your solution.
Solve the equation. Make sure to show your work. Circle your answer and check your solution.
1
Find x. Make sure to show your work. Circle your answer and check your solution.
Find x. Make sure to show your work. Circle your answer and check your solution.