Log in
Sign up for FREE
arrow_back
Library

Nucleic Acid Worksheet

star
star
star
star
star
Last updated over 5 years ago
20 questions
1
1
1
1
1
1
1
1
1
1
1
1
1
1
1
1
1
1
1
1
Question 1
1.

What elements are nucleic acids made of?

Question 2
2.

Both RNA and DNA are made of these monomers (building blocks).

Question 3
3.

Name the three parts of a nucleotide.

Question 4
4.

What are the two types of nucleic acids in the body?

Question 5
5.

Nucleic acids are the organic compounds that control the making of _________________________and contain the ____________________________ _____________________________ to pass on to the next generation.

Question 6
6.

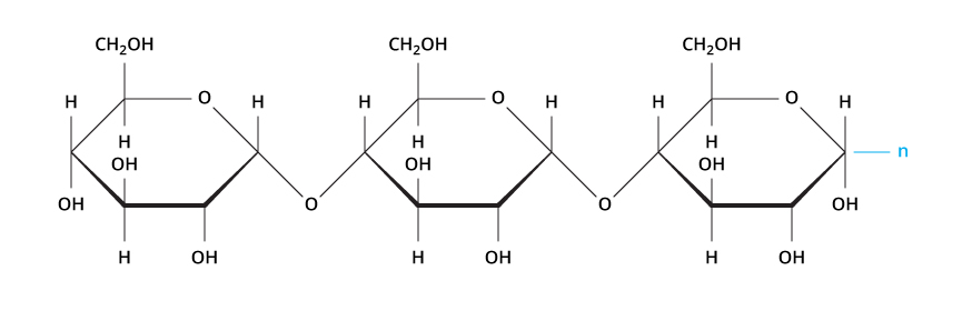
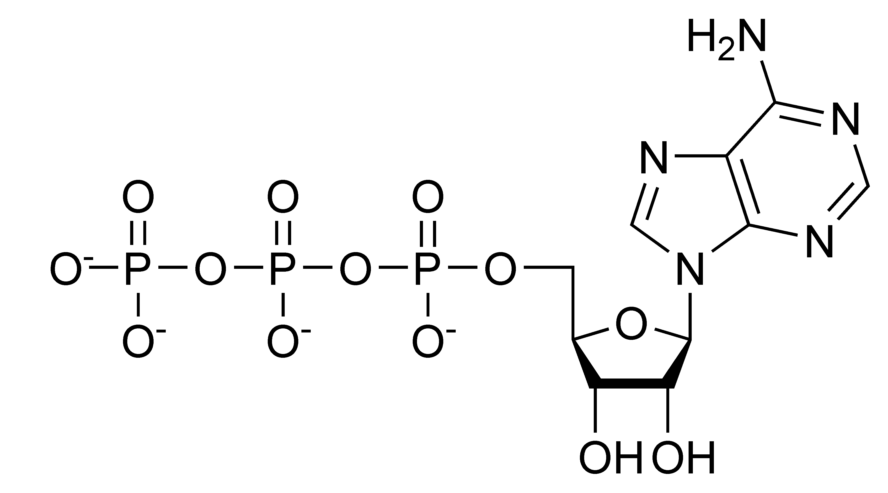
Which picture represents a nucleic acid.

Question 7
7.

Identify the purine base of nucleic acids in the following.

Question 8
8.

Which of the following are not the components of RNA?

Question 9
9.

What is the composition of a nucleotide?

Question 10
10.

DNA is single stranded.

Question 11
11.

RNA is single stranded.

Question 12
12.

RNA is important in protein synthesis.

Question 13
13.

RNA carries the genetic information from one generation to another.

Question 14
14.

ATP (adenosine triphosphate) is a higher energy source than ADP (adenosine diphosphate).

Question 15
15.

Which base bonds to adensine in DNA?

Question 16
16.

Which base bonds to adensine in RNA?

Question 17
17.

Which base bonds to Guanine in RNA?

Question 18
18.

Which base bonds to Guanine in DNA?

Question 19
19.

The bond between the bases in DNA are ___________________ bonds.

Question 20
20.

The polymer made from nucleitides is called _________________________.