Log in
Sign up for FREE
arrow_back
Library

Unit 2 Level 3/4 Assessment

star
star
star
star
star
Last updated over 5 years ago
9 questions
1
1
1
1
1
1
1
1
1
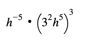
Question 1
1.

Simplify the expression. Be sure to show all the steps. If you do not show your work, you will not receive credit!

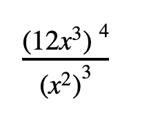
Question 2
2.

Simplify the expression. Be sure to show all the steps. If you do not show your work, you will not receive credit!

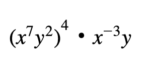
Question 3
3.

Simplify the expression. Be sure to show all the steps. If you do not show your work, you will not receive credit!

Question 4
4.

Simplify the expression. Be sure to show all the steps. If you do not show your work, you will not receive credit!

Question 5
5.

Simplify the expression. Be sure to show all the steps. If you do not show your work, you will not receive credit!

Question 6
6.
Question 7
7.

Question 8
8.

Taylor was trying to solve the problem below. She made a mistake in one of her lines which caused her to get an incorrect answer. Determine which line number Taylor did wrong and give an explanation as to what mistake Taylor made. Your answer should be a complete sentence.

Question 9
9.

Help Taylor out by simpliyfing this problem correctly. Make sure you do not make the same mistake Taylor did. You must show all your work in order to receive credit! Circle your final answer.