Verbal Description of Graphs
star
star
star
star
star
Last updated about 5 years ago
1 question
10
Read the verbal descriptions of situations in the left column and then drag to have it match its corresponding graph in the right column. Make sure to read words & labels carefully.
Read the verbal descriptions of situations in the left column and then drag to have it match its corresponding graph in the right column. Make sure to read words & labels carefully.
| Draggable item | arrow_right_alt | Corresponding Item |
|---|---|---|
Thomas slowly increased his speed until he reached the speed limit. After he reached the speed limit, he drove his car at a constant rate of speed. | arrow_right_alt | |
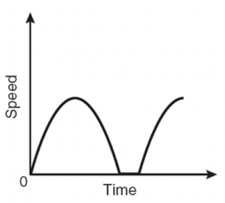
As John took off from a stoplight, he was able to increase his speed until he came to another stoplight where he had to brake and decrease his speed quickly. He came to a stop and when the light turned green, he increased his speed again. | arrow_right_alt | |
A brand-new candle burned at a constant rate until it had completely melted. | arrow_right_alt | |
Tristan filled up his gas tank with gas that cost $3.54 per gallon. | arrow_right_alt | |
Mr. Wilson asked his class to sketch a graph that would represent the following activity: Start 3 meters away from me and quickly walk away for 3 seconds. Then stand still for 8 seconds and then walk quickly toward me for 3 seconds. | arrow_right_alt | |
Mr. Wilson asked his class to sketch a graph that would represent the following activity: Start 4 meters away from me and slowly walk toward me for 8 seconds. Then stand still for 3 seconds and then walk quickly away from me for 4 seconds. | arrow_right_alt | |
Joyce had left a stop light increasing her speed until she reached the speed limit. She kept her speed right at the speed limit until she passed a sign saying the speed limit had increased so she sped up again. | arrow_right_alt | |
Ashley increased her speed as she took off from a stoplight until she saw another stoplight. When she saw the next stoplight, she decreased her speed until she came to a complete stop. | arrow_right_alt | |
Tiffany drove her car at a constant speed and then slowed down and stopped at a stoplight. When the light turned green, she sped up until she returned to her previous speed. | arrow_right_alt | |
Mr. Wilson asked his class to sketch a graph that would represent the following activity: Start 3 meters away from me and slowly walk away for 8 seconds. Then stand still for 3 seconds and then walk quickly toward me for 4 seconds. | arrow_right_alt |