Unit 3 Level 3/4 Assessment
star
star
star
star
star
Last updated about 5 years ago
12 questions
1
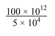
Simplify the expression below. WRITE YOUR ANSWER IN SCIENTIFIC NOTATION!
Simplify the expression below. WRITE YOUR ANSWER IN SCIENTIFIC NOTATION!
1
Simplify the expression below. WRITE YOUR ANSWER IN SCIENTIFIC NOTATION!
Simplify the expression below. WRITE YOUR ANSWER IN SCIENTIFIC NOTATION!
1
Simplify the expression below. WRITE YOUR ANSWER IN SCIENTIFIC NOTATION!
Simplify the expression below. WRITE YOUR ANSWER IN SCIENTIFIC NOTATION!
1
Simplify the expression below. WRITE YOUR ANSWER IN SCIENTIFIC NOTATION!
Simplify the expression below. WRITE YOUR ANSWER IN SCIENTIFIC NOTATION!
1
Simplify the expression below. WRITE YOUR ANSWER IN SCIENTIFIC NOTATION!
Simplify the expression below. WRITE YOUR ANSWER IN SCIENTIFIC NOTATION!
1
Simplify the expression below. WRITE YOUR ANSWER IN SCIENTIFIC NOTATION!
Simplify the expression below. WRITE YOUR ANSWER IN SCIENTIFIC NOTATION!
1
Simplify the expression below. WRITE YOUR ANSWER IN SCIENTIFIC NOTATION!
Simplify the expression below. WRITE YOUR ANSWER IN SCIENTIFIC NOTATION!
1
Simplify the expression below. WRITE YOUR ANSWER IN SCIENTIFIC NOTATION!
Simplify the expression below. WRITE YOUR ANSWER IN SCIENTIFIC NOTATION!
1
Simplify the expression below. WRITE YOUR ANSWER IN SCIENTIFIC NOTATION!
Simplify the expression below. WRITE YOUR ANSWER IN SCIENTIFIC NOTATION!
1
Simplify the expression below. WRITE YOUR ANSWER IN SCIENTIFIC NOTATION!
Simplify the expression below. WRITE YOUR ANSWER IN SCIENTIFIC NOTATION!
1
1