Unit 1 Exam - Limits and Continuity
star
star
star
star
star
Last updated about 5 years ago
30 questions
1
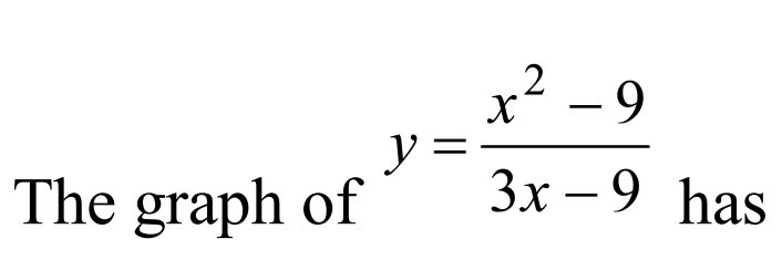
Find each limit. Show your work.
Find each limit. Show your work.
1
Find each limit. Show your work.
Find each limit. Show your work.
1
Find each limit. Show your work.
Find each limit. Show your work.
1
Find each limit. Show your work.
Find each limit. Show your work.
1
Find each limit. Show your work.
Find each limit. Show your work.
1
Find each limit. Show your work.
Find each limit. Show your work.
1
Find each limit. Show your work.
Find each limit. Show your work.
1
Find each limit. Show your work.
Find each limit. Show your work.
1
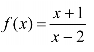
Use the piecewise function to find the indicated limits or state that the limit does not exist.
Use the piecewise function to find the indicated limits or state that the limit does not exist.
1
1
Use the function f(x) = | x |
Use the function f(x) = | x |
1
Use the function f(x) = | x |
Use the function f(x) = | x |
1
Use the function f(x) = | x |
Use the function f(x) = | x |
1
Use the function f(x) = | x |
Use the function f(x) = | x |
1
Is the function f(x) = | x |continuous at x = 0? Justify your answer.
Is the function f(x) = | x |continuous at x = 0? Justify your answer.
1
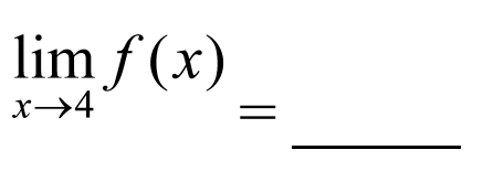
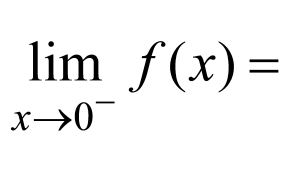
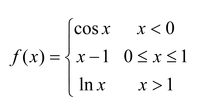
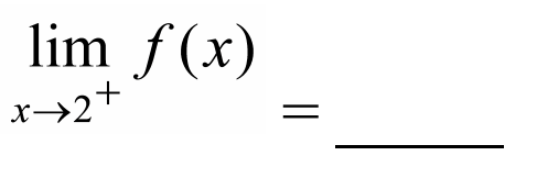
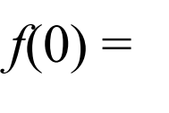
Find each limit or function value.
Find each limit or function value.
1
Find each limit or function value.
Find each limit or function value.
1
Find each limit or function value.
Find each limit or function value.
1
Find each limit or function value.
Find each limit or function value.
1
Find each limit or function value.
Find each limit or function value.
1
Find each limit or function value.
Find each limit or function value.
1
Find each limit or function value.
Find each limit or function value.
1
Find each limit or function value.
Find each limit or function value.
1
Identify any horizontal and vertical asymptotes. Show your work using proper
notation to justify your answers.
Identify any horizontal and vertical asymptotes. Show your work using proper
notation to justify your answers.
1
Identify all points of discontinuity and name the type of discontinuity.
Identify all points of discontinuity and name the type of discontinuity.
1
Identify all points of discontinuity and name the type of discontinuity.
Identify all points of discontinuity and name the type of discontinuity.
1
Use the Intermediate Value Theorem to determine if the given function has a zero in
the specified interval. Do not attempt to locate any zeros.
Use the Intermediate Value Theorem to determine if the given function has a zero in
the specified interval. Do not attempt to locate any zeros.
1
1
1
The figure above shows the graph of a function f with domain 0 ≤ x ≤ 4. Which of the following statements are true?
The figure above shows the graph of a function f with domain 0 ≤ x ≤ 4. Which of the following statements are true?