Lesson 13.1 In-Class
star
star
star
star
star
Last updated about 5 years ago
6 questions
1
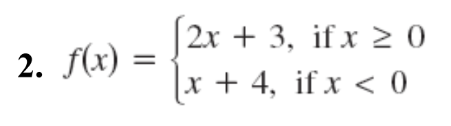
For the piecewise function f(1) = 3
For the piecewise function
f(1) = 3
1
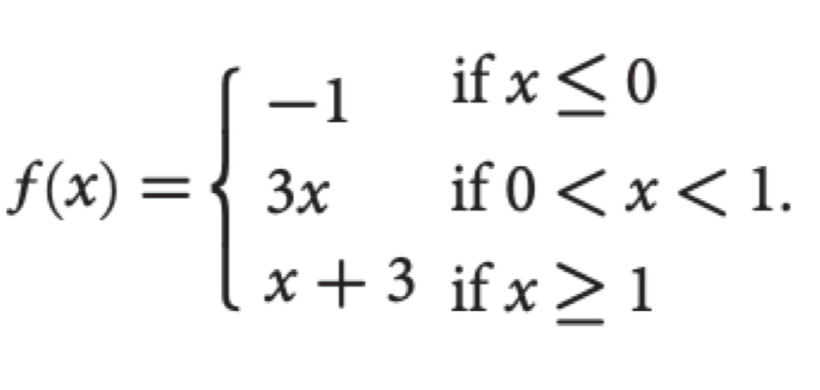
For the piecewise function
f(-4) = -5
For the piecewise function
f(-4) = -5
1
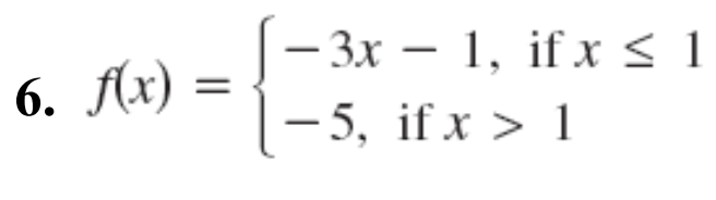
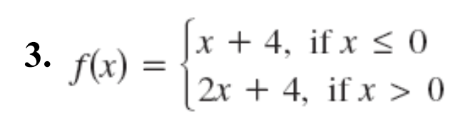
Sketch the graph of the piecewise function.
Sketch the graph of the piecewise function.
1
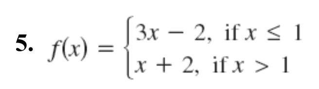
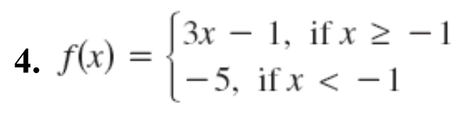
Sketch the graph of the piecewise function.
Sketch the graph of the piecewise function.
1
Match the piecewise function with its graph.
Match the piecewise function with its graph.
| Draggable item | arrow_right_alt | Corresponding Item |
|---|---|---|
| arrow_right_alt | ||
| arrow_right_alt | ||
| arrow_right_alt | ||
| arrow_right_alt | ||
| arrow_right_alt | ||
| arrow_right_alt |
1
Graph the piecewise function. Identify whether or not the graph is a function. Then, evaluate the graph at any specified domain value.
Graph the piecewise function. Identify whether or not the graph is a function. Then, evaluate the graph at any specified domain value.