Log in
Sign up for FREE
arrow_back
Library

Algebra Unit 1 Study Guide

star
star
star
star
star
Last updated about 5 years ago
58 questions
1
1
1
1
1
1
1
1
1
1
1
1
1
1
1
1
1
1
1
1
1
1
1
1
1
1
1
1
1
1
1
1
1
1
1
1
1
1
1
1
1
1
1
1
1
1
1
1
1
1
1
1
1
1
1
1
1
1
Question 1
1.

Question 2
2.

Question 3
3.

Question 4
4.

Question 5
5.

Question 6
6.

Question 7
7.

Question 8
8.

Question 9
9.

Question 10
10.

Question 11
11.

Question 12
12.

Question 13
13.

Question 14
14.

Question 15
15.

Question 16
16.

Question 17
17.

Question 18
18.

Question 19
19.

Question 20
20.

Question 21
21.

Question 22
22.

Question 23
23.

Question 24
24.

Question 25
25.

Question 26
26.

Question 27
27.

Question 28
28.

Question 29
29.

Question 30
30.


Question 31
31.

Question 32
32.

Question 33
33.

Question 34
34.


Question 35
35.


Question 36
36.



Question 37
37.

Question 38
38.

Question 39
39.

Question 40
40.

Translate the following into a math expression:
"The product of a number and 7, increased by three"

Question 41
41.

Translate the following into a math expression:
"One less than twice a number"

Question 42
42.

Translate the following into a math equation:
"Four times the difference of a number and nine is -30"

Question 43
43.

Translate the following into a math equation:
"Five more than the quotient of a number and eight is 42"

Question 44
44.

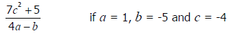
Question 45
45.

Question 46
46.

Simplify the following expression:

Question 47
47.

Simplify the following expression:

Question 48
48.

Simplify the following expression:

Question 49
49.

Simplify the following expression:

Question 50
50.

Question 51
51.


Question 52
52.

Solve the following equation for x (type in your number only)

Question 53
53.

Solve the following equation for x (type in your number only)

Question 54
54.

Solve the following equation for x (type in your number only)

Question 55
55.

Solve the following equation for x (type in your number only)

Question 56
56.

Solve the following equation for x (type in your number only)

Question 57
57.

Solve the following equation for x (type in your number only)

Question 58
58.

Check ALL the sets to which the number below belongs.

R (Real)
I (Irrational)
Q (Rational)
Z (Integer)
W (whole)
N (natural)
Check ALL the sets to which the number below belongs.

R
I
Q
Z
W
N
Check ALL the sets to which the number below belongs.

R
I
Q
Z
W
N
Check ALL the sets to which the number below belongs.

R
I
Q
Z
W
N
Check ALL the sets to which the number below belongs.

R
I
Q
Z
W
N
Check ALL the sets to which the number below belongs.

R
I
Q
Z
W
N
Using the number system below, in which circle would you place the following number:


Irrational
Natural
Whole
Intergers
Rational
Using the number system below, in which circle would you place the following number:


Irrational
Natural
Whole
Intergers
Rational
Using the number system below, in which circle would you place the following number:


Irrational
Natural
Whole
Intergers
Rational
Using the number system below, in which circle would you place the following number:


Irrational
Natural
Whole
Intergers
Rational
Using the number system below, in which circle would you place the following number:


Irrational
Natural
Whole
Intergers
Rational
Using the number system below, in which circle would you place the following number:


Irrational
Natural
Whole
Intergers
Rational
Using the number system below, in which circle would you place the following number:


Irrational
Natural
Whole
Intergers
Rational
Using the number system below, in which circle would you place the following number:


Irrational
Natural
Whole
Intergers
Rational
Using the number system below, in which circle would you place the following number:


Irrational
Natural
Whole
Intergers
Rational
Using the number system below, in which circle would you place the following number:


Irrational
Natural
Whole
Intergers
Rational
Which property is shown?

Associative
Commutative
Transivitive
Zero Product
Identity
Inverse
Distributive
Symmetric
Reflexive
Which property is shown?

Associative
Commutative
Transivitive
Zero Product
Identity
Inverse
Distributive
Symmetric
Reflexive
Which property is shown?

Associative
Commutative
Transivitive
Zero Product
Identity
Inverse
Distributive
Symmetric
Reflexive
Which property is shown?

Associative
Commutative
Transivitive
Zero Product
Identity
Inverse
Distributive
Symmetric
Reflexive
Which property is shown?

Associative
Commutative
Transivitive
Zero Product
Identity
Inverse
Distributive
Symmetric
Reflexive
Which property is shown?

Associative
Commutative
Transivitive
Zero Product
Identity
Inverse
Distributive
Symmetric
Reflexive
Which property is shown?

Associative
Commutative
Transivitive
Zero Product
Identity
Inverse
Distributive
Symmetric
Reflexive
Which property is shown?

Associative
Commutative
Transivitive
Zero Product
Identity
Inverse
Distributive
Symmetric
Reflexive
Which property is shown?

Associative
Commutative
Transivitive
Zero Product
Identity
Inverse
Distributive
Symmetric
Reflexive
Which property is shown?

Associative
Commutative
Transivitive
Zero Product
Identity
Inverse
Distributive
Symmetric
Reflexive
The set of negative numbers is closed under division.
True
False
The set of whole numbers is closed under subtraction.
True
False
The set of integers is closed under multiplication.
True
False
Which of the following can be represented with the following inequality:

You have to have at least 150 points to win
The school can hold a maximum of 150 people
Which of the following can be represented with the following inequality:

You must be at least 25 to rent a car
The classroom can hold no more than 25 people
Which of the following would result in the following graph: