1 Step Equations Mixed
star
star
star
star
star
Last updated about 5 years ago
21 questions

1
g +14 = 29
g +14 = 29
1
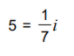
20 = 5i
20 = 5i
1
1
10 = s (-2)
10 = s (-2)
1
1
19 = r + 7
19 = r + 7
1
1
5 = c -13
5 = c -13
1
g - 13 = 8
g - 13 = 8
1
20 = a + 5
20 = a + 5
1
-42 = g (-6)
-42 = g (-6)
1
-2a = -14
-2a = -14
1
y + 11 = 22
y + 11 = 22
1
15 = h -15
15 = h -15
1
2 i = -6
2 i = -6
1
23 = f + 13
23 = f + 13
1
1
n(-2) = 4
n(-2) = 4
1
1
1