GEO Properties from Algebra
star
star
star
star
star
Last updated about 5 years ago
13 questions

1
1
1

1
1
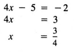
Hint: This one is a postulate, not an algebra property
Hint: This one is a postulate, not an algebra property
1
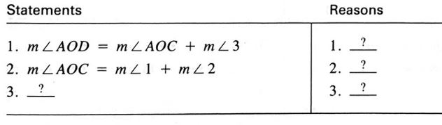
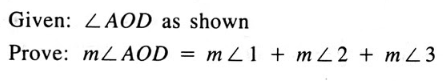
Don't include m or the angle symbol
Don't include m or the angle symbol
1

1
1
1
1
1
1