Re-do Problem Set - 09/21
star
star
star
star
star
Last updated about 5 years ago
5 questions
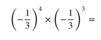
1
Write an equivalent expression (simplify the above notation)
Write an equivalent expression (simplify the above notation)
1
Write an equivalent expression (simplify the above notation)
Write an equivalent expression (simplify the above notation)
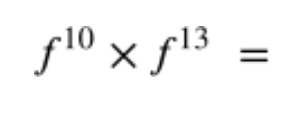
1
Write an equivalent expression (simplify the above notation)
Write an equivalent expression (simplify the above notation)
1
Write an equivalent expression (simplify the above notation)
Write an equivalent expression (simplify the above notation)
1
if (-3)^9 x (-3)^x = (-3)^14 , what is the value of x?
if (-3)^9 x (-3)^x = (-3)^14 , what is the value of x?




