2.1 & 2.2 QUIZ
star
star
star
star
star
Last updated about 5 years ago
10 questions
1
Tell whether the shaded figure is a TRANSLATION of the nonshaded figure.
Tell whether the shaded figure is a TRANSLATION of the nonshaded figure.
1
Tell whether the shaded figure is a TRANSLATION of the nonshaded figure.
Tell whether the shaded figure is a TRANSLATION of the nonshaded figure.
1
Tell whether the shaded figure is a REFLECTION of the nonshaded figure.
Tell whether the shaded figure is a REFLECTION of the nonshaded figure.
1
Tell whether the shaded figure is a REFLECTION of the nonshaded figure.
Tell whether the shaded figure is a REFLECTION of the nonshaded figure.
1
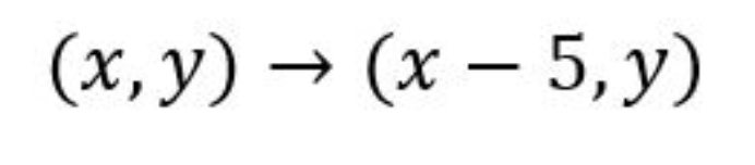
Which statement best describes the translation?
Which statement best describes the translation?
1
Describe the transformation that has occured.
Describe the transformation that has occured.
1
In the translation shown below the figure is moved________
In the translation shown below the figure is moved________
2
Reflect the figure in the Y-AXIS. List the new coordinates.
Reflect the figure in the Y-AXIS. List the new coordinates.
2
Translate the figure 4 units to the left and 2 units down.
Translate the figure 4 units to the left and 2 units down.
0
BONUS: Solve for y.
BONUS: Solve for y.