LRIS 3.4 Part 2 Assignment
star
star
star
star
star
Last updated about 5 years ago
16 questions
1
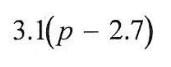
Use the distributive property to simplify the expression. No spaces when you type it in please.
Use the distributive property to simplify the expression. No spaces when you type it in please.
1
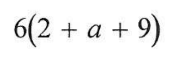
Use the distributive property to simplify the expression. No spaces when you type it in please.
Use the distributive property to simplify the expression. No spaces when you type it in please.
1
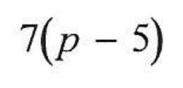
Use the distributive property to simplify the expression. No spaces when you type it in please.
Use the distributive property to simplify the expression. No spaces when you type it in please.
1
Use the distributive property to simplify the expression. No spaces when you type it in please.
Use the distributive property to simplify the expression. No spaces when you type it in please.
1
Use the distributive property to simplify the expression. No spaces when you type it in please.
Use the distributive property to simplify the expression. No spaces when you type it in please.
1
Use the distributive property to simplify the expression. No spaces when you type it in please.
Use the distributive property to simplify the expression. No spaces when you type it in please.
1
What is the error? Write it in complete sentences.
What is the error? Write it in complete sentences.
1
Use the distributive property to simplify the expression. No spaces when you type it in please.
Use the distributive property to simplify the expression. No spaces when you type it in please.
1
Use the distributive property to simplify the expression. No spaces when you type it in please.
Use the distributive property to simplify the expression. No spaces when you type it in please.
1
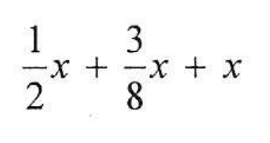
Use your properties to simplify the expression. No spaces when you type it in please.
Use your properties to simplify the expression. No spaces when you type it in please.
1
Use the distributive property to simplify the expression. No spaces when you type it in please.
Use the distributive property to simplify the expression. No spaces when you type it in please.
1
Use your properties to simplify the expression. No spaces when you type it in please.
Use your properties to simplify the expression. No spaces when you type it in please.
1
Use the distributive property to simplify the expression. No spaces when you type it in please.
Use the distributive property to simplify the expression. No spaces when you type it in please.
1
Simplify the expression for perimeter. Remember, perimeter is where you ADD up all of the sides.
Simplify the expression for perimeter. Remember, perimeter is where you ADD up all of the sides.
1
Simplify the expression for area. Use length x width.
Simplify the expression for area. Use length x width.
1