LRIS 3.4 Part 3 Assignment
star
star
star
star
star
Last updated about 5 years ago
18 questions
1
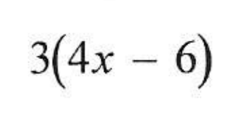
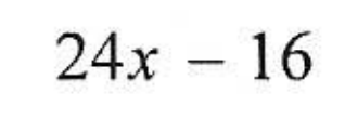
Use the cake method to simplify the expression. Don't solve, just factor. No spaces when you type it in please.
Use the cake method to simplify the expression. Don't solve, just factor. No spaces when you type it in please.
1
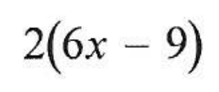
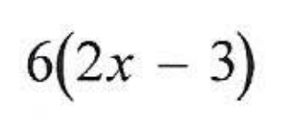
Use the cake method to simplify the expression. Don't solve, just factor. No spaces when you type it in please.
Use the cake method to simplify the expression. Don't solve, just factor. No spaces when you type it in please.
1
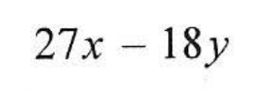
Use the cake method to simplify the expression. Don't solve, just factor. No spaces when you type it in please.
Use the cake method to simplify the expression. Don't solve, just factor. No spaces when you type it in please.
1
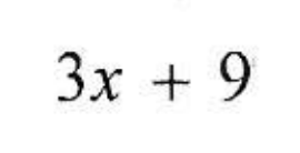
Use the cake method to simplify the expression. Don't solve, just factor. No spaces when you type it in please.
Use the cake method to simplify the expression. Don't solve, just factor. No spaces when you type it in please.
1
Use the cake method to simplify the expression. Don't solve, just factor. No spaces when you type it in please.
Use the cake method to simplify the expression. Don't solve, just factor. No spaces when you type it in please.
1
Use the cake method to simplify the expression. Don't solve, just factor. No spaces when you type it in please.
Use the cake method to simplify the expression. Don't solve, just factor. No spaces when you type it in please.
1
Use the cake method to simplify the expression. Don't solve, just factor. No spaces when you type it in please.
Use the cake method to simplify the expression. Don't solve, just factor. No spaces when you type it in please.
1
Use the cake method to simplify the expression. No spaces when you type it in please.
Use the cake method to simplify the expression. No spaces when you type it in please.
1
Use the cake method to simplify the expression. No spaces when you type it in please.
Use the cake method to simplify the expression. No spaces when you type it in please.
1
Use the cake method to simplify the expression. No spaces when you type it in please.
Use the cake method to simplify the expression. No spaces when you type it in please.
1
Use the cake method to simplify the expression. No spaces when you type it in please.
Use the cake method to simplify the expression. No spaces when you type it in please.
1
Use the cake method to simplify the expression. No spaces when you type it in please.
Use the cake method to simplify the expression. No spaces when you type it in please.
1
Use the cake method to simplify the expression. No spaces when you type it in please.
Use the cake method to simplify the expression. No spaces when you type it in please.
1
Use the cake method to simplify the expression. No spaces when you type it in please.
Use the cake method to simplify the expression. No spaces when you type it in please.
1
Use the cake method to simplify the expression. No spaces when you type it in please.
Use the cake method to simplify the expression. No spaces when you type it in please.
1
1
Select all the expressions that are
equivalent (equal) to 20x + 100.
Select all the expressions that are
equivalent (equal) to 20x + 100.
1