Geom453 Benchmark
star
star
star
star
star
Last updated about 5 years ago
24 questions

1
This table represents a linear function. Find the missing value for k. Do not use any spaces in your answer.
This table represents a linear function. Find the missing value for k. Do not use any spaces in your answer.
1
Evaluate:
Evaluate:
1
SImplify:
SImplify:
1
Simplify the radical. Do not give a decimal.
Simplify the radical. Do not give a decimal.
1
Solve: 5x = -20
Solve: 5x = -20
1
Solve:
Solve:
1
Solve:
Solve:
1
Solve the sytem of linear equations. Enter your answer as an ordered pair (x,y).
Solve the sytem of linear equations. Enter your answer as an ordered pair (x,y).

1
Describe AND correct the error in solving this equation.
Describe AND correct the error in solving this equation.
1
Does the following graph represent a function? Explain why or why not.
Does the following graph represent a function? Explain why or why not.
1
Determine the slope and y-intercept when
Determine the slope and y-intercept when
1
Write the equation that corresponds to the graph shown.
Write the equation that corresponds to the graph shown.
1
Describe AND correct the error in using the statement about the angles.
Describe AND correct the error in using the statement about the angles.

1
Name the segment congruent to
Name the segment congruent to
1
Find EF.
Find EF.
1
ABCD is a rhombus. AE = 7. Find CA.
ABCD is a rhombus. AE = 7. Find CA.
1
ABCD is a square. Find AB. Leave answer in simplest radical form.
ABCD is a square. Find AB. Leave answer in simplest radical form.
1
Find AC in triangle ABC.
Find AC in triangle ABC.

1
Describe AND correct the error in finding m<1.
Describe AND correct the error in finding m<1.
1
Find AB in triangle ABC.
Find AB in triangle ABC.
1
Find the perimeter of trapezoid PQRS.
Find the perimeter of trapezoid PQRS.
1
Find the area of the shaded sector in circle O.
Find the area of the shaded sector in circle O.
1
Find the length of arc AB in circle O.
Find the length of arc AB in circle O.
1
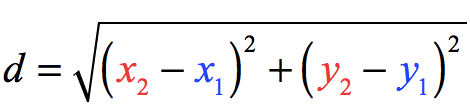
FInd the distance between the points A(-3, 12) and B(6, 4). Round to the nearest whole number.
FInd the distance between the points A(-3, 12) and B(6, 4). Round to the nearest whole number.