Algebra 1. LT 1.1 part 1 QUIZ. Solving Multi-Step Equations
star
star
star
star
star
Last updated about 5 years ago
8 questions
Note from the author:
Algebra 1.
Part 1.
Quiz.
Solving Mutli Step Equations
1
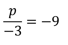
What is the first step in solving for the variable in the problem below?
What is the first step in solving for the variable in the problem below?
1
Solve. Show balanced work using the drawing feature. Put variable in answer.
Solve. Show balanced work using the drawing feature. Put variable in answer.
1
Solve. Show all balanced work in notes. Put variable in answer.
Solve. Show all balanced work in notes. Put variable in answer.
1
Solve. Show all balanced work in notes. Put variable in answer.
Solve. Show all balanced work in notes. Put variable in answer.
1
Solve. Show all balanced work in notes. Put variable in answer.
Solve. Show all balanced work in notes. Put variable in answer.
1
Show your work using the drawing feature to demonstrate the distributive property & combining like terms to simplify the expression below.
Show your work using the drawing feature to demonstrate the distributive property & combining like terms to simplify the expression below.
1
Solve for x. Show balanced work in notes. Put varialbe in answer.
Solve for x. Show balanced work in notes. Put varialbe in answer.
1
Error Analysis. In solving the following problem, I know I made a mistake in solving for x because my check step didn't work. Explain where I went wrong AND WHAT x should be.
Error Analysis.
In solving the following problem, I know I made a mistake in solving for x because my check step didn't work.
Explain where I went wrong AND WHAT x should be.