9/23 algebraic proofs
star
star
star
star
star
Last updated over 1 year ago
8 questions

12.5
match the proof reason to the correct step.
match the proof reason to the correct step.
| Draggable item | arrow_right_alt | Corresponding Item |
|---|---|---|
3x + 4 = 16 | arrow_right_alt | given |
3x = 12 | arrow_right_alt | subtraction |
x = 4 | arrow_right_alt | division |
12.5
Match the proof reason to the correct step.
Match the proof reason to the correct step.
| Draggable item | arrow_right_alt | Corresponding Item |
|---|---|---|
7=x | arrow_right_alt | given |
-3=3x-24 | arrow_right_alt | subtraction |
21=3x | arrow_right_alt | addition |
x=7 | arrow_right_alt | division |
4x-3=7x-24 | arrow_right_alt | symmetric |
12.5
match the proof reasons to the correct step.
match the proof reasons to the correct step.
| Draggable item | arrow_right_alt | Corresponding Item |
|---|---|---|
+4(2x+1) = 28 | arrow_right_alt | given |
8x + 4 = 28 | arrow_right_alt | distributive |
8x = 24 | arrow_right_alt | subtraction |
x = 3 | arrow_right_alt | division |
12.5
match the proof reason to the correct step.
match the proof reason to the correct step.
| Draggable item | arrow_right_alt | Corresponding Item |
|---|---|---|
3x-2=28 | arrow_right_alt | given |
3x = 30 | arrow_right_alt | addition |
x = 10 | arrow_right_alt | division |

12.5
match the proof reason to the correct step.
match the proof reason to the correct step.
| Draggable item | arrow_right_alt | Corresponding Item |
|---|---|---|
2x+3=5x-12 | arrow_right_alt | given |
-3x = -15 | arrow_right_alt | subtraction |
x = 5 | arrow_right_alt | subtraction |
2x=5x-15 | arrow_right_alt | division |
12.5
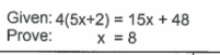
match the proof reason to the correct step.
match the proof reason to the correct step.
| Draggable item | arrow_right_alt | Corresponding Item |
|---|---|---|
4(5x+2)=15x+48 | arrow_right_alt | given |
20x=15x40 | arrow_right_alt | distributive |
5x=40 | arrow_right_alt | subtraction |
20x+8=15x+48 | arrow_right_alt | subtraction |
x=8 | arrow_right_alt | division |
12.5
Match the proof reason to the correct step.
Match the proof reason to the correct step.
| Draggable item | arrow_right_alt | Corresponding Item |
|---|---|---|
8=2y | arrow_right_alt | given |
10y+5=12y-3 | arrow_right_alt | subtraction |
y=4 | arrow_right_alt | addition |
5=2y-3 | arrow_right_alt | division |
4=y | arrow_right_alt | symmetric |
12.5
match the proof reason to the correct step.
match the proof reason to the correct step.
| Draggable item | arrow_right_alt | Corresponding Item |
|---|---|---|
6x+10=12x-32 | arrow_right_alt | given |
-6x+10=-32 | arrow_right_alt | distribution |
-6x=-42 | arrow_right_alt | subtraction |
x=7 | arrow_right_alt | subtraction |
6x+10=4(3x-8) | arrow_right_alt | division |

